Right Triangle Trigonometry connects the angles and sides of right... Show more
Sign up to see the contentIt's free!
Access to all documents
Improve your grades
Join milions of students
Knowunity AI
Subjects
Triangle Congruence and Similarity Theorems
Triangle Properties and Classification
Linear Equations and Graphs
Geometric Angle Relationships
Trigonometric Functions and Identities
Equation Solving Techniques
Circle Geometry Fundamentals
Division Operations and Methods
Basic Differentiation Rules
Exponent and Logarithm Properties
Show all topics
Human Organ Systems
Reproductive Cell Cycles
Biological Sciences Subdisciplines
Cellular Energy Metabolism
Autotrophic Energy Processes
Inheritance Patterns and Principles
Biomolecular Structure and Organization
Cell Cycle and Division Mechanics
Cellular Organization and Development
Biological Structural Organization
Show all topics
Chemical Sciences and Applications
Atomic Structure and Composition
Molecular Electron Structure Representation
Atomic Electron Behavior
Matter Properties and Water
Mole Concept and Calculations
Gas Laws and Behavior
Periodic Table Organization
Chemical Thermodynamics Fundamentals
Chemical Bond Types and Properties
Show all topics
European Renaissance and Enlightenment
European Cultural Movements 800-1920
American Revolution Era 1763-1797
American Civil War 1861-1865
Global Imperial Systems
Mongol and Chinese Dynasties
U.S. Presidents and World Leaders
Historical Sources and Documentation
World Wars Era and Impact
World Religious Systems
Show all topics
Classic and Contemporary Novels
Literary Character Analysis
Rhetorical Theory and Practice
Classic Literary Narratives
Reading Analysis and Interpretation
Narrative Structure and Techniques
English Language Components
Influential English-Language Authors
Basic Sentence Structure
Narrative Voice and Perspective
Show all topics
166
•
Updated Feb 22, 2026
•
Right Triangle Trigonometry connects the angles and sides of right... Show more





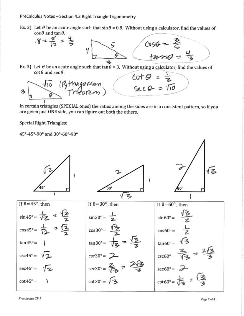
Ever wonder how mathematicians measure angles? Right triangle trigonometry gives us powerful tools to work with angles and sides. When looking at a right triangle, we can define six important ratios based on the sides.
The three primary trigonometric ratios are:
The three reciprocal ratios are:
Pro Tip: Think of these ratios as families - sine pairs with cosecant, cosine with secant, and tangent with cotangent. When you know one value, you can find its partner by taking the reciprocal!
For example, in a right triangle with sides 5, 12, and 13, if the angle θ is between sides 12 and 13, then sin θ = 5/13, cos θ = 12/13, and tan θ = 5/12. The reciprocals give us csc θ = 13/5, sec θ = 13/12, and cot θ = 12/5.

Special right triangles are your secret weapon for solving trigonometry problems quickly! These triangles have consistent side ratios, so knowing just one side lets you find the others.
The 45°-45°-90° triangle has two equal legs and a hypotenuse that's √2 times the length of a leg. The 30°-60°-90° triangle has a short leg (opposite the 30° angle) that's half the hypotenuse, and a long leg (opposite the 60° angle) that's √3/2 times the hypotenuse.
These special triangles give us exact values for trig functions:
Remember: Memorizing these special triangle relationships is essential! They'll appear throughout precalculus and calculus, and knowing them by heart will save you tons of time.
When solving problems involving these angles, you can immediately write down the exact value rather than having to work through the triangle geometry each time. The reciprocal functions (csc, sec, cot) follow directly once you know the primary functions.

Trigonometric identities are powerful equations that always hold true. They allow you to convert between different trig functions and solve complex problems.
The Reciprocal Identities show the relationships between pairs of functions:
The Quotient Identities relate tangent and cotangent to sine and cosine:
The Pythagorean Identities are equations based on the Pythagorean theorem:
Math Hack: The Pythagorean identities can be derived from the basic identity sin²θ + cos²θ = 1 by dividing through by either sin²θ or cos²θ. This shows how interconnected these relationships are!
These identities aren't just formulas to memorize—they're tools that help you transform expressions and solve problems. When you encounter complex trig expressions, these identities often provide the key to simplification.

Right triangle trig isn't just theoretical—it helps solve real-world problems involving heights, distances, and angles that you can't directly measure.
When working with angle of elevation (looking up) or angle of depression (looking down), always start by drawing a clear diagram. Label the known values and the unknown you're trying to find, then apply the appropriate trig ratio.
For example, if Peter stands 12 ft from a tree and looks up at a 76° angle to see the top, we can find the tree's height using tangent. Since tan 76° = height/12, the height equals 12 × tan 76° ≈ 48.13 ft. If the problem mentioned Peter is 6 ft tall and the angle is from his eyes, we'd simply add his height to our answer.
Similarly, if a kite flies 20 feet above someone's head with 36 feet of string played out, the angle can be found using sine. Since sin θ = 20/36, the angle θ ≈ 33.75°.
Real-Life Application: These same principles are used by surveyors, engineers, and astronomers to measure mountains, buildings, and even distances to stars!
When solving word problems, the key steps are: draw a diagram, label all known quantities, identify what you need to find, select the appropriate trig function, and solve the equation. This systematic approach works for virtually any right triangle application.
Our AI companion is specifically built for the needs of students. Based on the millions of content pieces we have on the platform we can provide truly meaningful and relevant answers to students. But its not only about answers, the companion is even more about guiding students through their daily learning challenges, with personalised study plans, quizzes or content pieces in the chat and 100% personalisation based on the students skills and developments.
You can download the app in the Google Play Store and in the Apple App Store.
That's right! Enjoy free access to study content, connect with fellow students, and get instant help – all at your fingertips.
App Store
Google Play
The app is very easy to use and well designed. I have found everything I was looking for so far and have been able to learn a lot from the presentations! I will definitely use the app for a class assignment! And of course it also helps a lot as an inspiration.
Stefan S
iOS user
This app is really great. There are so many study notes and help [...]. My problem subject is French, for example, and the app has so many options for help. Thanks to this app, I have improved my French. I would recommend it to anyone.
Samantha Klich
Android user
Wow, I am really amazed. I just tried the app because I've seen it advertised many times and was absolutely stunned. This app is THE HELP you want for school and above all, it offers so many things, such as workouts and fact sheets, which have been VERY helpful to me personally.
Anna
iOS user
I think it’s very much worth it and you’ll end up using it a lot once you get the hang of it and even after looking at others notes you can still ask your Artificial intelligence buddy the question and ask to simplify it if you still don’t get it!!! In the end I think it’s worth it 😊👍 ⚠️Also DID I MENTION ITS FREEE YOU DON’T HAVE TO PAY FOR ANYTHING AND STILL GET YOUR GRADES IN PERFECTLY❗️❗️⚠️
Thomas R
iOS user
Knowunity is the BEST app I’ve used in a minute. This is not an ai review or anything this is genuinely coming from a 7th grade student (I know 2011 im young) but dude this app is a 10/10 i have maintained a 3.8 gpa and have plenty of time for gaming. I love it and my mom is just happy I got good grades
Brad T
Android user
Not only did it help me find the answer but it also showed me alternative ways to solve it. I was horrible in math and science but now I have an a in both subjects. Thanks for the help🤍🤍
David K
iOS user
The app's just great! All I have to do is enter the topic in the search bar and I get the response real fast. I don't have to watch 10 YouTube videos to understand something, so I'm saving my time. Highly recommended!
Sudenaz Ocak
Android user
In school I was really bad at maths but thanks to the app, I am doing better now. I am so grateful that you made the app.
Greenlight Bonnie
Android user
I found this app a couple years ago and it has only gotten better since then. I really love it because it can help with written questions and photo questions. Also, it can find study guides that other people have made as well as flashcard sets and practice tests. The free version is also amazing for students who might not be able to afford it. Would 100% recommend
Aubrey
iOS user
Best app if you're in Highschool or Junior high. I have been using this app for 2 school years and it's the best, it's good if you don't have anyone to help you with school work.😋🩷🎀
Marco B
iOS user
THE QUIZES AND FLASHCARDS ARE SO USEFUL AND I LOVE Knowunity AI. IT ALSO IS LITREALLY LIKE CHATGPT BUT SMARTER!! HELPED ME WITH MY MASCARA PROBLEMS TOO!! AS WELL AS MY REAL SUBJECTS ! DUHHH 😍😁😲🤑💗✨🎀😮
Elisha
iOS user
This app is phenomenal down to the correct info and the various topics you can study! I greatly recommend it for people who struggle with procrastination and those who need homework help. It has been perfectly accurate for world 1 history as far as I’ve seen! Geometry too!
Paul T
iOS user
The app is very easy to use and well designed. I have found everything I was looking for so far and have been able to learn a lot from the presentations! I will definitely use the app for a class assignment! And of course it also helps a lot as an inspiration.
Stefan S
iOS user
This app is really great. There are so many study notes and help [...]. My problem subject is French, for example, and the app has so many options for help. Thanks to this app, I have improved my French. I would recommend it to anyone.
Samantha Klich
Android user
Wow, I am really amazed. I just tried the app because I've seen it advertised many times and was absolutely stunned. This app is THE HELP you want for school and above all, it offers so many things, such as workouts and fact sheets, which have been VERY helpful to me personally.
Anna
iOS user
I think it’s very much worth it and you’ll end up using it a lot once you get the hang of it and even after looking at others notes you can still ask your Artificial intelligence buddy the question and ask to simplify it if you still don’t get it!!! In the end I think it’s worth it 😊👍 ⚠️Also DID I MENTION ITS FREEE YOU DON’T HAVE TO PAY FOR ANYTHING AND STILL GET YOUR GRADES IN PERFECTLY❗️❗️⚠️
Thomas R
iOS user
Knowunity is the BEST app I’ve used in a minute. This is not an ai review or anything this is genuinely coming from a 7th grade student (I know 2011 im young) but dude this app is a 10/10 i have maintained a 3.8 gpa and have plenty of time for gaming. I love it and my mom is just happy I got good grades
Brad T
Android user
Not only did it help me find the answer but it also showed me alternative ways to solve it. I was horrible in math and science but now I have an a in both subjects. Thanks for the help🤍🤍
David K
iOS user
The app's just great! All I have to do is enter the topic in the search bar and I get the response real fast. I don't have to watch 10 YouTube videos to understand something, so I'm saving my time. Highly recommended!
Sudenaz Ocak
Android user
In school I was really bad at maths but thanks to the app, I am doing better now. I am so grateful that you made the app.
Greenlight Bonnie
Android user
I found this app a couple years ago and it has only gotten better since then. I really love it because it can help with written questions and photo questions. Also, it can find study guides that other people have made as well as flashcard sets and practice tests. The free version is also amazing for students who might not be able to afford it. Would 100% recommend
Aubrey
iOS user
Best app if you're in Highschool or Junior high. I have been using this app for 2 school years and it's the best, it's good if you don't have anyone to help you with school work.😋🩷🎀
Marco B
iOS user
THE QUIZES AND FLASHCARDS ARE SO USEFUL AND I LOVE Knowunity AI. IT ALSO IS LITREALLY LIKE CHATGPT BUT SMARTER!! HELPED ME WITH MY MASCARA PROBLEMS TOO!! AS WELL AS MY REAL SUBJECTS ! DUHHH 😍😁😲🤑💗✨🎀😮
Elisha
iOS user
This app is phenomenal down to the correct info and the various topics you can study! I greatly recommend it for people who struggle with procrastination and those who need homework help. It has been perfectly accurate for world 1 history as far as I’ve seen! Geometry too!
Paul T
iOS user
Right Triangle Trigonometry connects the angles and sides of right triangles through six key ratios. These relationships are fundamental to precalculus and form the basis for more advanced trigonometric concepts. Understanding these ratios and special triangles will make working with... Show more

Access to all documents
Improve your grades
Join milions of students
Ever wonder how mathematicians measure angles? Right triangle trigonometry gives us powerful tools to work with angles and sides. When looking at a right triangle, we can define six important ratios based on the sides.
The three primary trigonometric ratios are:
The three reciprocal ratios are:
Pro Tip: Think of these ratios as families - sine pairs with cosecant, cosine with secant, and tangent with cotangent. When you know one value, you can find its partner by taking the reciprocal!
For example, in a right triangle with sides 5, 12, and 13, if the angle θ is between sides 12 and 13, then sin θ = 5/13, cos θ = 12/13, and tan θ = 5/12. The reciprocals give us csc θ = 13/5, sec θ = 13/12, and cot θ = 12/5.

Access to all documents
Improve your grades
Join milions of students
Special right triangles are your secret weapon for solving trigonometry problems quickly! These triangles have consistent side ratios, so knowing just one side lets you find the others.
The 45°-45°-90° triangle has two equal legs and a hypotenuse that's √2 times the length of a leg. The 30°-60°-90° triangle has a short leg (opposite the 30° angle) that's half the hypotenuse, and a long leg (opposite the 60° angle) that's √3/2 times the hypotenuse.
These special triangles give us exact values for trig functions:
Remember: Memorizing these special triangle relationships is essential! They'll appear throughout precalculus and calculus, and knowing them by heart will save you tons of time.
When solving problems involving these angles, you can immediately write down the exact value rather than having to work through the triangle geometry each time. The reciprocal functions (csc, sec, cot) follow directly once you know the primary functions.

Access to all documents
Improve your grades
Join milions of students
Trigonometric identities are powerful equations that always hold true. They allow you to convert between different trig functions and solve complex problems.
The Reciprocal Identities show the relationships between pairs of functions:
The Quotient Identities relate tangent and cotangent to sine and cosine:
The Pythagorean Identities are equations based on the Pythagorean theorem:
Math Hack: The Pythagorean identities can be derived from the basic identity sin²θ + cos²θ = 1 by dividing through by either sin²θ or cos²θ. This shows how interconnected these relationships are!
These identities aren't just formulas to memorize—they're tools that help you transform expressions and solve problems. When you encounter complex trig expressions, these identities often provide the key to simplification.

Access to all documents
Improve your grades
Join milions of students
Right triangle trig isn't just theoretical—it helps solve real-world problems involving heights, distances, and angles that you can't directly measure.
When working with angle of elevation (looking up) or angle of depression (looking down), always start by drawing a clear diagram. Label the known values and the unknown you're trying to find, then apply the appropriate trig ratio.
For example, if Peter stands 12 ft from a tree and looks up at a 76° angle to see the top, we can find the tree's height using tangent. Since tan 76° = height/12, the height equals 12 × tan 76° ≈ 48.13 ft. If the problem mentioned Peter is 6 ft tall and the angle is from his eyes, we'd simply add his height to our answer.
Similarly, if a kite flies 20 feet above someone's head with 36 feet of string played out, the angle can be found using sine. Since sin θ = 20/36, the angle θ ≈ 33.75°.
Real-Life Application: These same principles are used by surveyors, engineers, and astronomers to measure mountains, buildings, and even distances to stars!
When solving word problems, the key steps are: draw a diagram, label all known quantities, identify what you need to find, select the appropriate trig function, and solve the equation. This systematic approach works for virtually any right triangle application.
Our AI companion is specifically built for the needs of students. Based on the millions of content pieces we have on the platform we can provide truly meaningful and relevant answers to students. But its not only about answers, the companion is even more about guiding students through their daily learning challenges, with personalised study plans, quizzes or content pieces in the chat and 100% personalisation based on the students skills and developments.
You can download the app in the Google Play Store and in the Apple App Store.
That's right! Enjoy free access to study content, connect with fellow students, and get instant help – all at your fingertips.
1
Smart Tools NEW
Transform this note into: ✓ 50+ Practice Questions ✓ Interactive Flashcards ✓ Full Practice Test ✓ Essay Outlines
Intro to special right triangles, specifically 30-60-90 triangles.
basics of trig
Explore the fundamentals of trigonometry with a focus on right triangles. This summary covers key concepts such as the definitions of opposite, adjacent, and hypotenuse sides, along with the SOH-CAH-TOA method for calculating trigonometric ratios. Ideal for students looking to master trigonometric equations and applications.
Examples of two of the most common special right triangles.
Explore the fundamentals of trigonometry with a focus on the key concepts of hypotenuse, opposite, and adjacent sides. This summary covers essential formulas including sine, cosine, and tangent, along with step-by-step instructions for solving problems using SOH CAH TOA. Perfect for students looking to master trigonometric calculations.
Intro to special right triangles, specifically 45-45-90 triangles.
App Store
Google Play
The app is very easy to use and well designed. I have found everything I was looking for so far and have been able to learn a lot from the presentations! I will definitely use the app for a class assignment! And of course it also helps a lot as an inspiration.
Stefan S
iOS user
This app is really great. There are so many study notes and help [...]. My problem subject is French, for example, and the app has so many options for help. Thanks to this app, I have improved my French. I would recommend it to anyone.
Samantha Klich
Android user
Wow, I am really amazed. I just tried the app because I've seen it advertised many times and was absolutely stunned. This app is THE HELP you want for school and above all, it offers so many things, such as workouts and fact sheets, which have been VERY helpful to me personally.
Anna
iOS user
I think it’s very much worth it and you’ll end up using it a lot once you get the hang of it and even after looking at others notes you can still ask your Artificial intelligence buddy the question and ask to simplify it if you still don’t get it!!! In the end I think it’s worth it 😊👍 ⚠️Also DID I MENTION ITS FREEE YOU DON’T HAVE TO PAY FOR ANYTHING AND STILL GET YOUR GRADES IN PERFECTLY❗️❗️⚠️
Thomas R
iOS user
Knowunity is the BEST app I’ve used in a minute. This is not an ai review or anything this is genuinely coming from a 7th grade student (I know 2011 im young) but dude this app is a 10/10 i have maintained a 3.8 gpa and have plenty of time for gaming. I love it and my mom is just happy I got good grades
Brad T
Android user
Not only did it help me find the answer but it also showed me alternative ways to solve it. I was horrible in math and science but now I have an a in both subjects. Thanks for the help🤍🤍
David K
iOS user
The app's just great! All I have to do is enter the topic in the search bar and I get the response real fast. I don't have to watch 10 YouTube videos to understand something, so I'm saving my time. Highly recommended!
Sudenaz Ocak
Android user
In school I was really bad at maths but thanks to the app, I am doing better now. I am so grateful that you made the app.
Greenlight Bonnie
Android user
I found this app a couple years ago and it has only gotten better since then. I really love it because it can help with written questions and photo questions. Also, it can find study guides that other people have made as well as flashcard sets and practice tests. The free version is also amazing for students who might not be able to afford it. Would 100% recommend
Aubrey
iOS user
Best app if you're in Highschool or Junior high. I have been using this app for 2 school years and it's the best, it's good if you don't have anyone to help you with school work.😋🩷🎀
Marco B
iOS user
THE QUIZES AND FLASHCARDS ARE SO USEFUL AND I LOVE Knowunity AI. IT ALSO IS LITREALLY LIKE CHATGPT BUT SMARTER!! HELPED ME WITH MY MASCARA PROBLEMS TOO!! AS WELL AS MY REAL SUBJECTS ! DUHHH 😍😁😲🤑💗✨🎀😮
Elisha
iOS user
This app is phenomenal down to the correct info and the various topics you can study! I greatly recommend it for people who struggle with procrastination and those who need homework help. It has been perfectly accurate for world 1 history as far as I’ve seen! Geometry too!
Paul T
iOS user
The app is very easy to use and well designed. I have found everything I was looking for so far and have been able to learn a lot from the presentations! I will definitely use the app for a class assignment! And of course it also helps a lot as an inspiration.
Stefan S
iOS user
This app is really great. There are so many study notes and help [...]. My problem subject is French, for example, and the app has so many options for help. Thanks to this app, I have improved my French. I would recommend it to anyone.
Samantha Klich
Android user
Wow, I am really amazed. I just tried the app because I've seen it advertised many times and was absolutely stunned. This app is THE HELP you want for school and above all, it offers so many things, such as workouts and fact sheets, which have been VERY helpful to me personally.
Anna
iOS user
I think it’s very much worth it and you’ll end up using it a lot once you get the hang of it and even after looking at others notes you can still ask your Artificial intelligence buddy the question and ask to simplify it if you still don’t get it!!! In the end I think it’s worth it 😊👍 ⚠️Also DID I MENTION ITS FREEE YOU DON’T HAVE TO PAY FOR ANYTHING AND STILL GET YOUR GRADES IN PERFECTLY❗️❗️⚠️
Thomas R
iOS user
Knowunity is the BEST app I’ve used in a minute. This is not an ai review or anything this is genuinely coming from a 7th grade student (I know 2011 im young) but dude this app is a 10/10 i have maintained a 3.8 gpa and have plenty of time for gaming. I love it and my mom is just happy I got good grades
Brad T
Android user
Not only did it help me find the answer but it also showed me alternative ways to solve it. I was horrible in math and science but now I have an a in both subjects. Thanks for the help🤍🤍
David K
iOS user
The app's just great! All I have to do is enter the topic in the search bar and I get the response real fast. I don't have to watch 10 YouTube videos to understand something, so I'm saving my time. Highly recommended!
Sudenaz Ocak
Android user
In school I was really bad at maths but thanks to the app, I am doing better now. I am so grateful that you made the app.
Greenlight Bonnie
Android user
I found this app a couple years ago and it has only gotten better since then. I really love it because it can help with written questions and photo questions. Also, it can find study guides that other people have made as well as flashcard sets and practice tests. The free version is also amazing for students who might not be able to afford it. Would 100% recommend
Aubrey
iOS user
Best app if you're in Highschool or Junior high. I have been using this app for 2 school years and it's the best, it's good if you don't have anyone to help you with school work.😋🩷🎀
Marco B
iOS user
THE QUIZES AND FLASHCARDS ARE SO USEFUL AND I LOVE Knowunity AI. IT ALSO IS LITREALLY LIKE CHATGPT BUT SMARTER!! HELPED ME WITH MY MASCARA PROBLEMS TOO!! AS WELL AS MY REAL SUBJECTS ! DUHHH 😍😁😲🤑💗✨🎀😮
Elisha
iOS user
This app is phenomenal down to the correct info and the various topics you can study! I greatly recommend it for people who struggle with procrastination and those who need homework help. It has been perfectly accurate for world 1 history as far as I’ve seen! Geometry too!
Paul T
iOS user