Eating disorders are serious mental health conditions that affect how... Show more
Sign up to see the contentIt's free!
Access to all documents
Improve your grades
Join milions of students
Knowunity AI
Subjects
Triangle Congruence and Similarity Theorems
Triangle Properties and Classification
Linear Equations and Graphs
Geometric Angle Relationships
Trigonometric Functions and Identities
Equation Solving Techniques
Circle Geometry Fundamentals
Division Operations and Methods
Basic Differentiation Rules
Exponent and Logarithm Properties
Show all topics
Human Organ Systems
Reproductive Cell Cycles
Biological Sciences Subdisciplines
Cellular Energy Metabolism
Autotrophic Energy Processes
Inheritance Patterns and Principles
Biomolecular Structure and Organization
Cell Cycle and Division Mechanics
Cellular Organization and Development
Biological Structural Organization
Show all topics
Chemical Sciences and Applications
Atomic Structure and Composition
Molecular Electron Structure Representation
Atomic Electron Behavior
Matter Properties and Water
Mole Concept and Calculations
Gas Laws and Behavior
Periodic Table Organization
Chemical Thermodynamics Fundamentals
Chemical Bond Types and Properties
Show all topics
European Renaissance and Enlightenment
European Cultural Movements 800-1920
American Revolution Era 1763-1797
American Civil War 1861-1865
Global Imperial Systems
Mongol and Chinese Dynasties
U.S. Presidents and World Leaders
Historical Sources and Documentation
World Wars Era and Impact
World Religious Systems
Show all topics
Classic and Contemporary Novels
Literary Character Analysis
Rhetorical Theory and Practice
Classic Literary Narratives
Reading Analysis and Interpretation
Narrative Structure and Techniques
English Language Components
Influential English-Language Authors
Basic Sentence Structure
Narrative Voice and Perspective
Show all topics
94
•
Updated Feb 14, 2026
•
Rachel Campanile
@rachelcampanile_ievt
Eating disorders are serious mental health conditions that affect how... Show more









Eating disorders come in several forms, each with distinctive patterns and behaviors. Anorexia nervosa involves severely restricting food intake, intense fear of weight gain, and distorted body image—even when dangerously underweight.
There are two subtypes of anorexia: the restricting type (primarily using dieting, fasting, or excessive exercise) and the binge-eating/purging type (engaging in binge eating or purging behaviors).
Bulimia nervosa involves cycles of binge eating (consuming unusually large amounts of food with a feeling of being out of control) followed by compensatory behaviors like self-induced vomiting, misuse of laxatives, fasting, or excessive exercise to prevent weight gain.
💡 The difference between anorexia and bulimia isn't just about weight—it's about patterns of behavior. Someone with anorexia primarily restricts food intake, while someone with bulimia cycles between binging and purging.

With bulimia nervosa, both binge eating and compensatory behaviors occur at least weekly for three months, and self-worth is overly tied to body shape and weight.
Binge eating disorder (BED) involves recurring episodes of consuming unusually large amounts of food with a feeling of loss of control. These episodes typically include eating rapidly, until uncomfortably full, when not hungry, alone due to embarrassment, and feeling disgusted or guilty afterward.
Eating disorders affect different populations in various ways. While they're diagnosed more often in women, the age of onset differs: anorexia typically begins at 16-20, bulimia at 21-24, and BED at 30-50.
Cultural factors play important roles too. Asian and Asian American individuals face higher risk for all eating disorders, while Latinx adults show higher rates of BED. Risk factors include acculturation stress and internalization of Western beauty ideals, while connection to ethnic identity can be protective.

People with eating disorders often experience complex emotions including anxiety, shame, denial, and feelings of either lacking control or being overly controlling. These feelings can make it difficult to seek help or acknowledge the problem.
The medical complications of eating disorders can be severe. Anorexia nervosa is potentially deadly, causing cardiac problems, digestive issues, blood count abnormalities, stopped menstrual periods, muscle loss, and bone density reduction.
Bulimia causes its own set of health problems, including dental erosion from stomach acid exposure, throat inflammation, electrolyte imbalances that risk cardiac complications, and irregular menstruation.
Binge eating disorder increases risk for high cholesterol, high blood pressure, diabetes, gallbladder disease, and heart disease.
⚠️ Anorexia nervosa has the highest mortality rate of any psychiatric disorder, primarily due to cardiac complications and suicide.

Eating disorders stem from multiple interconnected factors. Biological factors include genetic predisposition to eating disorders themselves and to co-occurring conditions like depression, OCD, or substance use disorders. Brain differences and neurotransmitter imbalances (serotonin, dopamine) also play roles.
Family dynamics contribute significantly. Anorexia is associated with rigid, less cohesive families with poor communication and high perfectionism. Bulimia often appears in families with high expectations, critical comments about weight/shape, and family members who diet.
Psychological factors like perfectionism, body dissatisfaction, low self-esteem, depression, and impulsivity increase risk for developing eating disorders.
Many people with eating disorders also have other mental health conditions. Common co-occurring diagnoses include anxiety disorders, depression, bipolar disorders, OCD, substance use disorders, PTSD, autism (especially with anorexia), and ADHD (especially with BED and bulimia).

Our culture significantly impacts eating disorder development through beauty standards, diet culture, and media influences. Weight stigma creates psychological distress that can trigger binge eating. Social media platforms often promote unrealistic body ideals and harmful food/fitness messaging.
Getting help for eating disorders remains challenging, with relatively low rates of seeking professional treatment: only 34.5% for anorexia, 49% for BED, and 62.6% for bulimia.
Treatment occurs at different levels of intensity, from outpatient care to partial hospitalization, residential programs, and inpatient treatment for severe cases.
A major treatment challenge is ambivalence—part of the person wants to recover while another part wants to maintain the disorder. This makes simplistic approaches like "just eat food" ineffective because underlying issues remain unaddressed. People may fear weight gain, use the disorder to maintain control, or struggle to cope with emotions in healthier ways.
🔑 Recovery involves more than changing eating habits—it requires addressing the psychological factors and coping mechanisms that maintain the disorder.

Treatment settings present unique challenges. People with eating disorders often have competitive tendencies that can manifest in unhelpful ways during group treatment, such as comparing body sizes or disordered eating behaviors.
Medical stabilization becomes necessary in severe cases, especially with very low BMI, irregular heart rates, low blood pressure, organ failure, or electrolyte abnormalities. During refeeding, careful monitoring prevents potentially fatal complications from too-rapid reintroduction of nutrition.
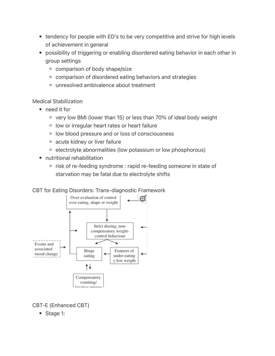
Cognitive Behavioral Therapy for Eating Disorders uses a trans-diagnostic framework targeting the over-evaluation of controlling eating, shape, or weight. The model shows how strict dieting, binge eating, and compensatory behaviors create self-reinforcing cycles.
CBT-E treatment follows a structured approach with four stages. Stage 1 focuses on engaging the patient, establishing regular eating patterns, and beginning self-monitoring. Stage 2 reviews progress and addresses barriers to change.
💡 CBT-E is considered the gold standard treatment for bulimia and binge eating disorder, with strong evidence supporting its effectiveness.

In Stage 3 of CBT-E—the main treatment phase—therapy focuses on addressing core issues: challenging the over-emphasis on shape and weight, reducing body checking behaviors, examining dietary rules and beliefs, and addressing perfectionism or interpersonal problems.
The final stage (Stage 4) concentrates on maintaining progress and preventing relapse through appointments spaced farther apart, helping transition to independent management.
For Binge Eating Disorder, CBT aims to disrupt the diet-binge cycle by promoting structured eating patterns, improving body image concerns, and using self-monitoring to develop flexible rather than rigid approaches to eating.
Interpersonal Psychotherapy (IPT) offers another effective approach for BED. This model suggests social problems create environments where binge eating develops as a coping mechanism for unexpressed emotions.
IPT focuses on acknowledging feelings directly rather than coping through food. The goal is developing healthy interpersonal skills that promote a positive self-image and better emotional regulation.

The ultimate goal of eating disorder treatment is to help people acknowledge and express difficult feelings while developing healthy interpersonal skills. This foundation supports a more positive self-image and reduces reliance on disordered eating as a coping mechanism.
Recovery involves learning to separate self-worth from body size or shape, developing flexible eating patterns, building healthier ways to manage emotions, and creating supportive relationships. Though challenging, with proper treatment, recovery from eating disorders is absolutely possible.
Our AI companion is specifically built for the needs of students. Based on the millions of content pieces we have on the platform we can provide truly meaningful and relevant answers to students. But its not only about answers, the companion is even more about guiding students through their daily learning challenges, with personalised study plans, quizzes or content pieces in the chat and 100% personalisation based on the students skills and developments.
You can download the app in the Google Play Store and in the Apple App Store.
That's right! Enjoy free access to study content, connect with fellow students, and get instant help – all at your fingertips.
App Store
Google Play
The app is very easy to use and well designed. I have found everything I was looking for so far and have been able to learn a lot from the presentations! I will definitely use the app for a class assignment! And of course it also helps a lot as an inspiration.
Stefan S
iOS user
This app is really great. There are so many study notes and help [...]. My problem subject is French, for example, and the app has so many options for help. Thanks to this app, I have improved my French. I would recommend it to anyone.
Samantha Klich
Android user
Wow, I am really amazed. I just tried the app because I've seen it advertised many times and was absolutely stunned. This app is THE HELP you want for school and above all, it offers so many things, such as workouts and fact sheets, which have been VERY helpful to me personally.
Anna
iOS user
I think it’s very much worth it and you’ll end up using it a lot once you get the hang of it and even after looking at others notes you can still ask your Artificial intelligence buddy the question and ask to simplify it if you still don’t get it!!! In the end I think it’s worth it 😊👍 ⚠️Also DID I MENTION ITS FREEE YOU DON’T HAVE TO PAY FOR ANYTHING AND STILL GET YOUR GRADES IN PERFECTLY❗️❗️⚠️
Thomas R
iOS user
Knowunity is the BEST app I’ve used in a minute. This is not an ai review or anything this is genuinely coming from a 7th grade student (I know 2011 im young) but dude this app is a 10/10 i have maintained a 3.8 gpa and have plenty of time for gaming. I love it and my mom is just happy I got good grades
Brad T
Android user
Not only did it help me find the answer but it also showed me alternative ways to solve it. I was horrible in math and science but now I have an a in both subjects. Thanks for the help🤍🤍
David K
iOS user
The app's just great! All I have to do is enter the topic in the search bar and I get the response real fast. I don't have to watch 10 YouTube videos to understand something, so I'm saving my time. Highly recommended!
Sudenaz Ocak
Android user
In school I was really bad at maths but thanks to the app, I am doing better now. I am so grateful that you made the app.
Greenlight Bonnie
Android user
I found this app a couple years ago and it has only gotten better since then. I really love it because it can help with written questions and photo questions. Also, it can find study guides that other people have made as well as flashcard sets and practice tests. The free version is also amazing for students who might not be able to afford it. Would 100% recommend
Aubrey
iOS user
Best app if you're in Highschool or Junior high. I have been using this app for 2 school years and it's the best, it's good if you don't have anyone to help you with school work.😋🩷🎀
Marco B
iOS user
THE QUIZES AND FLASHCARDS ARE SO USEFUL AND I LOVE Knowunity AI. IT ALSO IS LITREALLY LIKE CHATGPT BUT SMARTER!! HELPED ME WITH MY MASCARA PROBLEMS TOO!! AS WELL AS MY REAL SUBJECTS ! DUHHH 😍😁😲🤑💗✨🎀😮
Elisha
iOS user
This app is phenomenal down to the correct info and the various topics you can study! I greatly recommend it for people who struggle with procrastination and those who need homework help. It has been perfectly accurate for world 1 history as far as I’ve seen! Geometry too!
Paul T
iOS user
The app is very easy to use and well designed. I have found everything I was looking for so far and have been able to learn a lot from the presentations! I will definitely use the app for a class assignment! And of course it also helps a lot as an inspiration.
Stefan S
iOS user
This app is really great. There are so many study notes and help [...]. My problem subject is French, for example, and the app has so many options for help. Thanks to this app, I have improved my French. I would recommend it to anyone.
Samantha Klich
Android user
Wow, I am really amazed. I just tried the app because I've seen it advertised many times and was absolutely stunned. This app is THE HELP you want for school and above all, it offers so many things, such as workouts and fact sheets, which have been VERY helpful to me personally.
Anna
iOS user
I think it’s very much worth it and you’ll end up using it a lot once you get the hang of it and even after looking at others notes you can still ask your Artificial intelligence buddy the question and ask to simplify it if you still don’t get it!!! In the end I think it’s worth it 😊👍 ⚠️Also DID I MENTION ITS FREEE YOU DON’T HAVE TO PAY FOR ANYTHING AND STILL GET YOUR GRADES IN PERFECTLY❗️❗️⚠️
Thomas R
iOS user
Knowunity is the BEST app I’ve used in a minute. This is not an ai review or anything this is genuinely coming from a 7th grade student (I know 2011 im young) but dude this app is a 10/10 i have maintained a 3.8 gpa and have plenty of time for gaming. I love it and my mom is just happy I got good grades
Brad T
Android user
Not only did it help me find the answer but it also showed me alternative ways to solve it. I was horrible in math and science but now I have an a in both subjects. Thanks for the help🤍🤍
David K
iOS user
The app's just great! All I have to do is enter the topic in the search bar and I get the response real fast. I don't have to watch 10 YouTube videos to understand something, so I'm saving my time. Highly recommended!
Sudenaz Ocak
Android user
In school I was really bad at maths but thanks to the app, I am doing better now. I am so grateful that you made the app.
Greenlight Bonnie
Android user
I found this app a couple years ago and it has only gotten better since then. I really love it because it can help with written questions and photo questions. Also, it can find study guides that other people have made as well as flashcard sets and practice tests. The free version is also amazing for students who might not be able to afford it. Would 100% recommend
Aubrey
iOS user
Best app if you're in Highschool or Junior high. I have been using this app for 2 school years and it's the best, it's good if you don't have anyone to help you with school work.😋🩷🎀
Marco B
iOS user
THE QUIZES AND FLASHCARDS ARE SO USEFUL AND I LOVE Knowunity AI. IT ALSO IS LITREALLY LIKE CHATGPT BUT SMARTER!! HELPED ME WITH MY MASCARA PROBLEMS TOO!! AS WELL AS MY REAL SUBJECTS ! DUHHH 😍😁😲🤑💗✨🎀😮
Elisha
iOS user
This app is phenomenal down to the correct info and the various topics you can study! I greatly recommend it for people who struggle with procrastination and those who need homework help. It has been perfectly accurate for world 1 history as far as I’ve seen! Geometry too!
Paul T
iOS user
Rachel Campanile
@rachelcampanile_ievt
Eating disorders are serious mental health conditions that affect how people relate to food, their bodies, and themselves. These disorders have significant psychological and physical impacts, and they often require professional treatment. Let's explore the different types, their characteristics, and... Show more

Access to all documents
Improve your grades
Join milions of students
Eating disorders come in several forms, each with distinctive patterns and behaviors. Anorexia nervosa involves severely restricting food intake, intense fear of weight gain, and distorted body image—even when dangerously underweight.
There are two subtypes of anorexia: the restricting type (primarily using dieting, fasting, or excessive exercise) and the binge-eating/purging type (engaging in binge eating or purging behaviors).
Bulimia nervosa involves cycles of binge eating (consuming unusually large amounts of food with a feeling of being out of control) followed by compensatory behaviors like self-induced vomiting, misuse of laxatives, fasting, or excessive exercise to prevent weight gain.
💡 The difference between anorexia and bulimia isn't just about weight—it's about patterns of behavior. Someone with anorexia primarily restricts food intake, while someone with bulimia cycles between binging and purging.

Access to all documents
Improve your grades
Join milions of students
With bulimia nervosa, both binge eating and compensatory behaviors occur at least weekly for three months, and self-worth is overly tied to body shape and weight.
Binge eating disorder (BED) involves recurring episodes of consuming unusually large amounts of food with a feeling of loss of control. These episodes typically include eating rapidly, until uncomfortably full, when not hungry, alone due to embarrassment, and feeling disgusted or guilty afterward.
Eating disorders affect different populations in various ways. While they're diagnosed more often in women, the age of onset differs: anorexia typically begins at 16-20, bulimia at 21-24, and BED at 30-50.
Cultural factors play important roles too. Asian and Asian American individuals face higher risk for all eating disorders, while Latinx adults show higher rates of BED. Risk factors include acculturation stress and internalization of Western beauty ideals, while connection to ethnic identity can be protective.

Access to all documents
Improve your grades
Join milions of students
People with eating disorders often experience complex emotions including anxiety, shame, denial, and feelings of either lacking control or being overly controlling. These feelings can make it difficult to seek help or acknowledge the problem.
The medical complications of eating disorders can be severe. Anorexia nervosa is potentially deadly, causing cardiac problems, digestive issues, blood count abnormalities, stopped menstrual periods, muscle loss, and bone density reduction.
Bulimia causes its own set of health problems, including dental erosion from stomach acid exposure, throat inflammation, electrolyte imbalances that risk cardiac complications, and irregular menstruation.
Binge eating disorder increases risk for high cholesterol, high blood pressure, diabetes, gallbladder disease, and heart disease.
⚠️ Anorexia nervosa has the highest mortality rate of any psychiatric disorder, primarily due to cardiac complications and suicide.

Access to all documents
Improve your grades
Join milions of students
Eating disorders stem from multiple interconnected factors. Biological factors include genetic predisposition to eating disorders themselves and to co-occurring conditions like depression, OCD, or substance use disorders. Brain differences and neurotransmitter imbalances (serotonin, dopamine) also play roles.
Family dynamics contribute significantly. Anorexia is associated with rigid, less cohesive families with poor communication and high perfectionism. Bulimia often appears in families with high expectations, critical comments about weight/shape, and family members who diet.
Psychological factors like perfectionism, body dissatisfaction, low self-esteem, depression, and impulsivity increase risk for developing eating disorders.
Many people with eating disorders also have other mental health conditions. Common co-occurring diagnoses include anxiety disorders, depression, bipolar disorders, OCD, substance use disorders, PTSD, autism (especially with anorexia), and ADHD (especially with BED and bulimia).

Access to all documents
Improve your grades
Join milions of students
Our culture significantly impacts eating disorder development through beauty standards, diet culture, and media influences. Weight stigma creates psychological distress that can trigger binge eating. Social media platforms often promote unrealistic body ideals and harmful food/fitness messaging.
Getting help for eating disorders remains challenging, with relatively low rates of seeking professional treatment: only 34.5% for anorexia, 49% for BED, and 62.6% for bulimia.
Treatment occurs at different levels of intensity, from outpatient care to partial hospitalization, residential programs, and inpatient treatment for severe cases.
A major treatment challenge is ambivalence—part of the person wants to recover while another part wants to maintain the disorder. This makes simplistic approaches like "just eat food" ineffective because underlying issues remain unaddressed. People may fear weight gain, use the disorder to maintain control, or struggle to cope with emotions in healthier ways.
🔑 Recovery involves more than changing eating habits—it requires addressing the psychological factors and coping mechanisms that maintain the disorder.

Access to all documents
Improve your grades
Join milions of students
Treatment settings present unique challenges. People with eating disorders often have competitive tendencies that can manifest in unhelpful ways during group treatment, such as comparing body sizes or disordered eating behaviors.
Medical stabilization becomes necessary in severe cases, especially with very low BMI, irregular heart rates, low blood pressure, organ failure, or electrolyte abnormalities. During refeeding, careful monitoring prevents potentially fatal complications from too-rapid reintroduction of nutrition.
Cognitive Behavioral Therapy for Eating Disorders uses a trans-diagnostic framework targeting the over-evaluation of controlling eating, shape, or weight. The model shows how strict dieting, binge eating, and compensatory behaviors create self-reinforcing cycles.
CBT-E treatment follows a structured approach with four stages. Stage 1 focuses on engaging the patient, establishing regular eating patterns, and beginning self-monitoring. Stage 2 reviews progress and addresses barriers to change.
💡 CBT-E is considered the gold standard treatment for bulimia and binge eating disorder, with strong evidence supporting its effectiveness.

Access to all documents
Improve your grades
Join milions of students
In Stage 3 of CBT-E—the main treatment phase—therapy focuses on addressing core issues: challenging the over-emphasis on shape and weight, reducing body checking behaviors, examining dietary rules and beliefs, and addressing perfectionism or interpersonal problems.
The final stage (Stage 4) concentrates on maintaining progress and preventing relapse through appointments spaced farther apart, helping transition to independent management.
For Binge Eating Disorder, CBT aims to disrupt the diet-binge cycle by promoting structured eating patterns, improving body image concerns, and using self-monitoring to develop flexible rather than rigid approaches to eating.
Interpersonal Psychotherapy (IPT) offers another effective approach for BED. This model suggests social problems create environments where binge eating develops as a coping mechanism for unexpressed emotions.
IPT focuses on acknowledging feelings directly rather than coping through food. The goal is developing healthy interpersonal skills that promote a positive self-image and better emotional regulation.

Access to all documents
Improve your grades
Join milions of students
The ultimate goal of eating disorder treatment is to help people acknowledge and express difficult feelings while developing healthy interpersonal skills. This foundation supports a more positive self-image and reduces reliance on disordered eating as a coping mechanism.
Recovery involves learning to separate self-worth from body size or shape, developing flexible eating patterns, building healthier ways to manage emotions, and creating supportive relationships. Though challenging, with proper treatment, recovery from eating disorders is absolutely possible.
Our AI companion is specifically built for the needs of students. Based on the millions of content pieces we have on the platform we can provide truly meaningful and relevant answers to students. But its not only about answers, the companion is even more about guiding students through their daily learning challenges, with personalised study plans, quizzes or content pieces in the chat and 100% personalisation based on the students skills and developments.
You can download the app in the Google Play Store and in the Apple App Store.
That's right! Enjoy free access to study content, connect with fellow students, and get instant help – all at your fingertips.
4
Smart Tools NEW
Transform this note into: ✓ 50+ Practice Questions ✓ Interactive Flashcards ✓ Full Practice Test ✓ Essay Outlines
a presentation deck on somatic symptom disorders, including illness anxiety disorder, conversion disorder and somatic symptom disorders. featuring visuals from osmosis, "crazyhead comics", verywell and even never have i ever lol
In class notes
Adult psychopathology lecture notes
Explore the biological underpinnings of schizophrenia, focusing on genetic vulnerabilities, the role of neurotransmitters like dopamine and glutamate, and the impact of environmental factors. This summary highlights key research findings, including family and adoption studies, and discusses the implications for genetic counseling and treatment options. Ideal for students studying psychology and mental health disorders.
Explore the effectiveness of token economy as a behavioral therapy for managing schizophrenia. This summary covers key concepts such as operant conditioning, positive reinforcement, and the impact on negative symptoms. Evaluate the pros and cons based on historical studies, including insights from Paul and Lentz (1977) and McMonagle and Sultana (2000). Ideal for psychology students and professionals seeking to understand behavioral interventions in clinical settings.
App Store
Google Play
The app is very easy to use and well designed. I have found everything I was looking for so far and have been able to learn a lot from the presentations! I will definitely use the app for a class assignment! And of course it also helps a lot as an inspiration.
Stefan S
iOS user
This app is really great. There are so many study notes and help [...]. My problem subject is French, for example, and the app has so many options for help. Thanks to this app, I have improved my French. I would recommend it to anyone.
Samantha Klich
Android user
Wow, I am really amazed. I just tried the app because I've seen it advertised many times and was absolutely stunned. This app is THE HELP you want for school and above all, it offers so many things, such as workouts and fact sheets, which have been VERY helpful to me personally.
Anna
iOS user
I think it’s very much worth it and you’ll end up using it a lot once you get the hang of it and even after looking at others notes you can still ask your Artificial intelligence buddy the question and ask to simplify it if you still don’t get it!!! In the end I think it’s worth it 😊👍 ⚠️Also DID I MENTION ITS FREEE YOU DON’T HAVE TO PAY FOR ANYTHING AND STILL GET YOUR GRADES IN PERFECTLY❗️❗️⚠️
Thomas R
iOS user
Knowunity is the BEST app I’ve used in a minute. This is not an ai review or anything this is genuinely coming from a 7th grade student (I know 2011 im young) but dude this app is a 10/10 i have maintained a 3.8 gpa and have plenty of time for gaming. I love it and my mom is just happy I got good grades
Brad T
Android user
Not only did it help me find the answer but it also showed me alternative ways to solve it. I was horrible in math and science but now I have an a in both subjects. Thanks for the help🤍🤍
David K
iOS user
The app's just great! All I have to do is enter the topic in the search bar and I get the response real fast. I don't have to watch 10 YouTube videos to understand something, so I'm saving my time. Highly recommended!
Sudenaz Ocak
Android user
In school I was really bad at maths but thanks to the app, I am doing better now. I am so grateful that you made the app.
Greenlight Bonnie
Android user
I found this app a couple years ago and it has only gotten better since then. I really love it because it can help with written questions and photo questions. Also, it can find study guides that other people have made as well as flashcard sets and practice tests. The free version is also amazing for students who might not be able to afford it. Would 100% recommend
Aubrey
iOS user
Best app if you're in Highschool or Junior high. I have been using this app for 2 school years and it's the best, it's good if you don't have anyone to help you with school work.😋🩷🎀
Marco B
iOS user
THE QUIZES AND FLASHCARDS ARE SO USEFUL AND I LOVE Knowunity AI. IT ALSO IS LITREALLY LIKE CHATGPT BUT SMARTER!! HELPED ME WITH MY MASCARA PROBLEMS TOO!! AS WELL AS MY REAL SUBJECTS ! DUHHH 😍😁😲🤑💗✨🎀😮
Elisha
iOS user
This app is phenomenal down to the correct info and the various topics you can study! I greatly recommend it for people who struggle with procrastination and those who need homework help. It has been perfectly accurate for world 1 history as far as I’ve seen! Geometry too!
Paul T
iOS user
The app is very easy to use and well designed. I have found everything I was looking for so far and have been able to learn a lot from the presentations! I will definitely use the app for a class assignment! And of course it also helps a lot as an inspiration.
Stefan S
iOS user
This app is really great. There are so many study notes and help [...]. My problem subject is French, for example, and the app has so many options for help. Thanks to this app, I have improved my French. I would recommend it to anyone.
Samantha Klich
Android user
Wow, I am really amazed. I just tried the app because I've seen it advertised many times and was absolutely stunned. This app is THE HELP you want for school and above all, it offers so many things, such as workouts and fact sheets, which have been VERY helpful to me personally.
Anna
iOS user
I think it’s very much worth it and you’ll end up using it a lot once you get the hang of it and even after looking at others notes you can still ask your Artificial intelligence buddy the question and ask to simplify it if you still don’t get it!!! In the end I think it’s worth it 😊👍 ⚠️Also DID I MENTION ITS FREEE YOU DON’T HAVE TO PAY FOR ANYTHING AND STILL GET YOUR GRADES IN PERFECTLY❗️❗️⚠️
Thomas R
iOS user
Knowunity is the BEST app I’ve used in a minute. This is not an ai review or anything this is genuinely coming from a 7th grade student (I know 2011 im young) but dude this app is a 10/10 i have maintained a 3.8 gpa and have plenty of time for gaming. I love it and my mom is just happy I got good grades
Brad T
Android user
Not only did it help me find the answer but it also showed me alternative ways to solve it. I was horrible in math and science but now I have an a in both subjects. Thanks for the help🤍🤍
David K
iOS user
The app's just great! All I have to do is enter the topic in the search bar and I get the response real fast. I don't have to watch 10 YouTube videos to understand something, so I'm saving my time. Highly recommended!
Sudenaz Ocak
Android user
In school I was really bad at maths but thanks to the app, I am doing better now. I am so grateful that you made the app.
Greenlight Bonnie
Android user
I found this app a couple years ago and it has only gotten better since then. I really love it because it can help with written questions and photo questions. Also, it can find study guides that other people have made as well as flashcard sets and practice tests. The free version is also amazing for students who might not be able to afford it. Would 100% recommend
Aubrey
iOS user
Best app if you're in Highschool or Junior high. I have been using this app for 2 school years and it's the best, it's good if you don't have anyone to help you with school work.😋🩷🎀
Marco B
iOS user
THE QUIZES AND FLASHCARDS ARE SO USEFUL AND I LOVE Knowunity AI. IT ALSO IS LITREALLY LIKE CHATGPT BUT SMARTER!! HELPED ME WITH MY MASCARA PROBLEMS TOO!! AS WELL AS MY REAL SUBJECTS ! DUHHH 😍😁😲🤑💗✨🎀😮
Elisha
iOS user
This app is phenomenal down to the correct info and the various topics you can study! I greatly recommend it for people who struggle with procrastination and those who need homework help. It has been perfectly accurate for world 1 history as far as I’ve seen! Geometry too!
Paul T
iOS user