In chemistry, understanding how matter behaves and changes is fundamental... Show more
Sign up to see the contentIt's free!
Access to all documents
Improve your grades
Join milions of students
Knowunity AI
Subjects
Triangle Congruence and Similarity Theorems
Triangle Properties and Classification
Linear Equations and Graphs
Geometric Angle Relationships
Trigonometric Functions and Identities
Equation Solving Techniques
Circle Geometry Fundamentals
Division Operations and Methods
Basic Differentiation Rules
Exponent and Logarithm Properties
Show all topics
Human Organ Systems
Reproductive Cell Cycles
Biological Sciences Subdisciplines
Cellular Energy Metabolism
Autotrophic Energy Processes
Inheritance Patterns and Principles
Biomolecular Structure and Organization
Cell Cycle and Division Mechanics
Cellular Organization and Development
Biological Structural Organization
Show all topics
Chemical Sciences and Applications
Atomic Structure and Composition
Molecular Electron Structure Representation
Atomic Electron Behavior
Matter Properties and Water
Mole Concept and Calculations
Gas Laws and Behavior
Periodic Table Organization
Chemical Thermodynamics Fundamentals
Chemical Bond Types and Properties
Show all topics
European Renaissance and Enlightenment
European Cultural Movements 800-1920
American Revolution Era 1763-1797
American Civil War 1861-1865
Global Imperial Systems
Mongol and Chinese Dynasties
U.S. Presidents and World Leaders
Historical Sources and Documentation
World Wars Era and Impact
World Religious Systems
Show all topics
Classic and Contemporary Novels
Literary Character Analysis
Rhetorical Theory and Practice
Classic Literary Narratives
Reading Analysis and Interpretation
Narrative Structure and Techniques
English Language Components
Influential English-Language Authors
Basic Sentence Structure
Narrative Voice and Perspective
Show all topics
33
•
Updated Feb 26, 2026
•
celise celestin
@celisecelestin
In chemistry, understanding how matter behaves and changes is fundamental... Show more







Matter is anything that has mass and takes up space (has volume). When studying matter, scientists look at two key aspects: its composition (what it's made of) and its properties (characteristics that describe it).
Properties of matter fall into two main categories. Physical properties describe matter without changing its chemical makeup - things like color, density, and melting point. Chemical properties describe how a substance reacts with other substances and potentially changes its composition.
Physical properties can be further divided into intensive properties (which don't depend on amount, like color or density) and extensive properties (which do depend on amount, like mass or volume). For example, a basketball's color remains orange regardless of its size (intensive), but its mass changes if you cut it in half (extensive).
Did you know? Every substance has a unique set of properties that acts like its "fingerprint," allowing scientists to identify unknown materials based on careful observation and testing.

Physical changes don't alter what a substance is made of—only its appearance or form changes. When ice melts into water, it's still H₂O molecules, just arranged differently. Other examples include cutting paper, dissolving sugar in tea, or bending a wire.
Chemical changes transform matter into something new with different properties. During these changes (also called chemical reactions), the bonds between atoms break and reform to create new substances. When iron rusts, it combines with oxygen to form iron oxide—a completely different substance with new properties.
You can spot chemical changes by looking for telltale signs: color changes, gas production (bubbles), heat or light released, or the formation of a solid in a liquid (precipitate). When baking soda meets vinegar and fizzes, that's a chemical change producing sodium acetate, water, and carbon dioxide.
Try this! The next time you eat s'mores, notice both physical changes (chocolate melting) and chemical changes (marshmallow browning) happening right before your eyes!

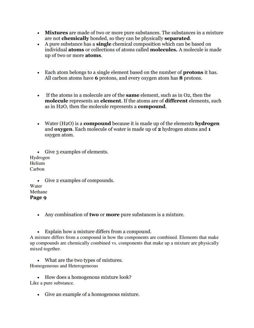
Matter can be classified based on its composition. Pure substances have a definite, consistent composition and can't be separated by physical means. They come in two forms: elements and compounds.
Elements are the most basic building blocks of matter that cannot be broken down further by chemical means. Each element has a specific number of protons in its atomic nucleus—carbon always has 6 protons, while oxygen always has 8. Examples include hydrogen, helium, and carbon.
Compounds form when two or more elements chemically bond together in fixed proportions. Water (H₂O) is a compound made of hydrogen and oxygen atoms joined in a specific ratio. The smallest unit of a compound is a molecule—a group of atoms bonded together that can participate in chemical reactions.
Remember: While both elements and compounds are pure substances, compounds can be broken down into simpler substances through chemical reactions, but elements cannot be simplified further.

Unlike pure substances, mixtures contain two or more substances that are physically combined but not chemically bonded. This means the components keep their individual properties and can be separated through physical methods like filtering or evaporation.
The key difference between mixtures and compounds is how their components are joined. In compounds like water (H₂O), hydrogen and oxygen are chemically bonded together in a fixed ratio. In a mixture like salt water, the salt and water are simply mixed together and can exist in any proportion.
Mixtures come in two varieties. Homogeneous mixtures (also called solutions) appear uniform throughout—like sugar dissolved in tea, where you can't see separate components. Heterogeneous mixtures have visibly different regions—like a bowl of cereal where you can clearly identify separate components.
Quick tip: A helpful way to remember the difference between homogeneous and heterogeneous mixtures: "Homo" means "same" in Greek, so homogeneous mixtures look the same throughout!

Identifying matter in everyday life requires careful observation. A collection of different colored beans is a heterogeneous mixture because you can clearly see distinct components with different properties. Each individual bean, however, could be considered a pure substance.
Sometimes the line between pure substances and mixtures isn't obvious. Many things that look uniform might actually be homogeneous mixtures. For example, tap water looks like pure water but contains dissolved minerals, making it a homogeneous mixture rather than a pure compound.
This distinction has real effects! Pure water (just H₂O molecules) barely conducts electricity. However, tap water conducts electricity much better because it contains dissolved ions from minerals that allow electrical current to flow. This is why scientists classify pure water as a compound and tap water as a homogeneous mixture.
Challenge yourself: Look around your kitchen and try to identify three heterogeneous mixtures (like chicken noodle soup) and three homogeneous mixtures (like soda or juice). What makes them different from pure substances?

Our AI companion is specifically built for the needs of students. Based on the millions of content pieces we have on the platform we can provide truly meaningful and relevant answers to students. But its not only about answers, the companion is even more about guiding students through their daily learning challenges, with personalised study plans, quizzes or content pieces in the chat and 100% personalisation based on the students skills and developments.
You can download the app in the Google Play Store and in the Apple App Store.
That's right! Enjoy free access to study content, connect with fellow students, and get instant help – all at your fingertips.
App Store
Google Play
The app is very easy to use and well designed. I have found everything I was looking for so far and have been able to learn a lot from the presentations! I will definitely use the app for a class assignment! And of course it also helps a lot as an inspiration.
Stefan S
iOS user
This app is really great. There are so many study notes and help [...]. My problem subject is French, for example, and the app has so many options for help. Thanks to this app, I have improved my French. I would recommend it to anyone.
Samantha Klich
Android user
Wow, I am really amazed. I just tried the app because I've seen it advertised many times and was absolutely stunned. This app is THE HELP you want for school and above all, it offers so many things, such as workouts and fact sheets, which have been VERY helpful to me personally.
Anna
iOS user
I think it’s very much worth it and you’ll end up using it a lot once you get the hang of it and even after looking at others notes you can still ask your Artificial intelligence buddy the question and ask to simplify it if you still don’t get it!!! In the end I think it’s worth it 😊👍 ⚠️Also DID I MENTION ITS FREEE YOU DON’T HAVE TO PAY FOR ANYTHING AND STILL GET YOUR GRADES IN PERFECTLY❗️❗️⚠️
Thomas R
iOS user
Knowunity is the BEST app I’ve used in a minute. This is not an ai review or anything this is genuinely coming from a 7th grade student (I know 2011 im young) but dude this app is a 10/10 i have maintained a 3.8 gpa and have plenty of time for gaming. I love it and my mom is just happy I got good grades
Brad T
Android user
Not only did it help me find the answer but it also showed me alternative ways to solve it. I was horrible in math and science but now I have an a in both subjects. Thanks for the help🤍🤍
David K
iOS user
The app's just great! All I have to do is enter the topic in the search bar and I get the response real fast. I don't have to watch 10 YouTube videos to understand something, so I'm saving my time. Highly recommended!
Sudenaz Ocak
Android user
In school I was really bad at maths but thanks to the app, I am doing better now. I am so grateful that you made the app.
Greenlight Bonnie
Android user
I found this app a couple years ago and it has only gotten better since then. I really love it because it can help with written questions and photo questions. Also, it can find study guides that other people have made as well as flashcard sets and practice tests. The free version is also amazing for students who might not be able to afford it. Would 100% recommend
Aubrey
iOS user
Best app if you're in Highschool or Junior high. I have been using this app for 2 school years and it's the best, it's good if you don't have anyone to help you with school work.😋🩷🎀
Marco B
iOS user
THE QUIZES AND FLASHCARDS ARE SO USEFUL AND I LOVE Knowunity AI. IT ALSO IS LITREALLY LIKE CHATGPT BUT SMARTER!! HELPED ME WITH MY MASCARA PROBLEMS TOO!! AS WELL AS MY REAL SUBJECTS ! DUHHH 😍😁😲🤑💗✨🎀😮
Elisha
iOS user
This app is phenomenal down to the correct info and the various topics you can study! I greatly recommend it for people who struggle with procrastination and those who need homework help. It has been perfectly accurate for world 1 history as far as I’ve seen! Geometry too!
Paul T
iOS user
The app is very easy to use and well designed. I have found everything I was looking for so far and have been able to learn a lot from the presentations! I will definitely use the app for a class assignment! And of course it also helps a lot as an inspiration.
Stefan S
iOS user
This app is really great. There are so many study notes and help [...]. My problem subject is French, for example, and the app has so many options for help. Thanks to this app, I have improved my French. I would recommend it to anyone.
Samantha Klich
Android user
Wow, I am really amazed. I just tried the app because I've seen it advertised many times and was absolutely stunned. This app is THE HELP you want for school and above all, it offers so many things, such as workouts and fact sheets, which have been VERY helpful to me personally.
Anna
iOS user
I think it’s very much worth it and you’ll end up using it a lot once you get the hang of it and even after looking at others notes you can still ask your Artificial intelligence buddy the question and ask to simplify it if you still don’t get it!!! In the end I think it’s worth it 😊👍 ⚠️Also DID I MENTION ITS FREEE YOU DON’T HAVE TO PAY FOR ANYTHING AND STILL GET YOUR GRADES IN PERFECTLY❗️❗️⚠️
Thomas R
iOS user
Knowunity is the BEST app I’ve used in a minute. This is not an ai review or anything this is genuinely coming from a 7th grade student (I know 2011 im young) but dude this app is a 10/10 i have maintained a 3.8 gpa and have plenty of time for gaming. I love it and my mom is just happy I got good grades
Brad T
Android user
Not only did it help me find the answer but it also showed me alternative ways to solve it. I was horrible in math and science but now I have an a in both subjects. Thanks for the help🤍🤍
David K
iOS user
The app's just great! All I have to do is enter the topic in the search bar and I get the response real fast. I don't have to watch 10 YouTube videos to understand something, so I'm saving my time. Highly recommended!
Sudenaz Ocak
Android user
In school I was really bad at maths but thanks to the app, I am doing better now. I am so grateful that you made the app.
Greenlight Bonnie
Android user
I found this app a couple years ago and it has only gotten better since then. I really love it because it can help with written questions and photo questions. Also, it can find study guides that other people have made as well as flashcard sets and practice tests. The free version is also amazing for students who might not be able to afford it. Would 100% recommend
Aubrey
iOS user
Best app if you're in Highschool or Junior high. I have been using this app for 2 school years and it's the best, it's good if you don't have anyone to help you with school work.😋🩷🎀
Marco B
iOS user
THE QUIZES AND FLASHCARDS ARE SO USEFUL AND I LOVE Knowunity AI. IT ALSO IS LITREALLY LIKE CHATGPT BUT SMARTER!! HELPED ME WITH MY MASCARA PROBLEMS TOO!! AS WELL AS MY REAL SUBJECTS ! DUHHH 😍😁😲🤑💗✨🎀😮
Elisha
iOS user
This app is phenomenal down to the correct info and the various topics you can study! I greatly recommend it for people who struggle with procrastination and those who need homework help. It has been perfectly accurate for world 1 history as far as I’ve seen! Geometry too!
Paul T
iOS user
celise celestin
@celisecelestin
In chemistry, understanding how matter behaves and changes is fundamental to explaining the world around us. Matter has specific properties that help us identify substances and predict how they'll interact, and these properties can change in different ways depending on... Show more

Access to all documents
Improve your grades
Join milions of students
Matter is anything that has mass and takes up space (has volume). When studying matter, scientists look at two key aspects: its composition (what it's made of) and its properties (characteristics that describe it).
Properties of matter fall into two main categories. Physical properties describe matter without changing its chemical makeup - things like color, density, and melting point. Chemical properties describe how a substance reacts with other substances and potentially changes its composition.
Physical properties can be further divided into intensive properties (which don't depend on amount, like color or density) and extensive properties (which do depend on amount, like mass or volume). For example, a basketball's color remains orange regardless of its size (intensive), but its mass changes if you cut it in half (extensive).
Did you know? Every substance has a unique set of properties that acts like its "fingerprint," allowing scientists to identify unknown materials based on careful observation and testing.

Access to all documents
Improve your grades
Join milions of students
Physical changes don't alter what a substance is made of—only its appearance or form changes. When ice melts into water, it's still H₂O molecules, just arranged differently. Other examples include cutting paper, dissolving sugar in tea, or bending a wire.
Chemical changes transform matter into something new with different properties. During these changes (also called chemical reactions), the bonds between atoms break and reform to create new substances. When iron rusts, it combines with oxygen to form iron oxide—a completely different substance with new properties.
You can spot chemical changes by looking for telltale signs: color changes, gas production (bubbles), heat or light released, or the formation of a solid in a liquid (precipitate). When baking soda meets vinegar and fizzes, that's a chemical change producing sodium acetate, water, and carbon dioxide.
Try this! The next time you eat s'mores, notice both physical changes (chocolate melting) and chemical changes (marshmallow browning) happening right before your eyes!

Access to all documents
Improve your grades
Join milions of students
Matter can be classified based on its composition. Pure substances have a definite, consistent composition and can't be separated by physical means. They come in two forms: elements and compounds.
Elements are the most basic building blocks of matter that cannot be broken down further by chemical means. Each element has a specific number of protons in its atomic nucleus—carbon always has 6 protons, while oxygen always has 8. Examples include hydrogen, helium, and carbon.
Compounds form when two or more elements chemically bond together in fixed proportions. Water (H₂O) is a compound made of hydrogen and oxygen atoms joined in a specific ratio. The smallest unit of a compound is a molecule—a group of atoms bonded together that can participate in chemical reactions.
Remember: While both elements and compounds are pure substances, compounds can be broken down into simpler substances through chemical reactions, but elements cannot be simplified further.

Access to all documents
Improve your grades
Join milions of students
Unlike pure substances, mixtures contain two or more substances that are physically combined but not chemically bonded. This means the components keep their individual properties and can be separated through physical methods like filtering or evaporation.
The key difference between mixtures and compounds is how their components are joined. In compounds like water (H₂O), hydrogen and oxygen are chemically bonded together in a fixed ratio. In a mixture like salt water, the salt and water are simply mixed together and can exist in any proportion.
Mixtures come in two varieties. Homogeneous mixtures (also called solutions) appear uniform throughout—like sugar dissolved in tea, where you can't see separate components. Heterogeneous mixtures have visibly different regions—like a bowl of cereal where you can clearly identify separate components.
Quick tip: A helpful way to remember the difference between homogeneous and heterogeneous mixtures: "Homo" means "same" in Greek, so homogeneous mixtures look the same throughout!

Access to all documents
Improve your grades
Join milions of students
Identifying matter in everyday life requires careful observation. A collection of different colored beans is a heterogeneous mixture because you can clearly see distinct components with different properties. Each individual bean, however, could be considered a pure substance.
Sometimes the line between pure substances and mixtures isn't obvious. Many things that look uniform might actually be homogeneous mixtures. For example, tap water looks like pure water but contains dissolved minerals, making it a homogeneous mixture rather than a pure compound.
This distinction has real effects! Pure water (just H₂O molecules) barely conducts electricity. However, tap water conducts electricity much better because it contains dissolved ions from minerals that allow electrical current to flow. This is why scientists classify pure water as a compound and tap water as a homogeneous mixture.
Challenge yourself: Look around your kitchen and try to identify three heterogeneous mixtures (like chicken noodle soup) and three homogeneous mixtures (like soda or juice). What makes them different from pure substances?

Access to all documents
Improve your grades
Join milions of students
Our AI companion is specifically built for the needs of students. Based on the millions of content pieces we have on the platform we can provide truly meaningful and relevant answers to students. But its not only about answers, the companion is even more about guiding students through their daily learning challenges, with personalised study plans, quizzes or content pieces in the chat and 100% personalisation based on the students skills and developments.
You can download the app in the Google Play Store and in the Apple App Store.
That's right! Enjoy free access to study content, connect with fellow students, and get instant help – all at your fingertips.
1
Smart Tools NEW
Transform this note into: ✓ 50+ Practice Questions ✓ Interactive Flashcards ✓ Full Practice Test ✓ Essay Outlines
Test your knowledge of periodic elements with this quiz covering a wide range of elements from the periodic table.
Chemistry chemical changes flashcards
Explore essential laboratory techniques including chromatography, simple and fractional distillation, and filtration. Understand the principles of separation methods, the properties of metals and non-metals, and the development of the periodic table. This summary covers key concepts such as atomic structure, mixtures, and balancing chemical equations, making it a valuable resource for chemistry students.
Explore the formation of condensation polymers, including polyamides and polyesters, through the reaction of carboxylic acids with amines and alcohols. This summary covers key concepts such as monomers, repeating units, and the release of water during polymerization. Ideal for GCSE chemistry students studying polymer chemistry.
Explore the key differences between alkanes and alkenes, including their structures, properties, and general formulas. This summary covers the homologous series, unsaturated vs saturated hydrocarbons, and the significance of carbon bonding. Ideal for chemistry students preparing for exams.
This is about atoms and molecules.
App Store
Google Play
The app is very easy to use and well designed. I have found everything I was looking for so far and have been able to learn a lot from the presentations! I will definitely use the app for a class assignment! And of course it also helps a lot as an inspiration.
Stefan S
iOS user
This app is really great. There are so many study notes and help [...]. My problem subject is French, for example, and the app has so many options for help. Thanks to this app, I have improved my French. I would recommend it to anyone.
Samantha Klich
Android user
Wow, I am really amazed. I just tried the app because I've seen it advertised many times and was absolutely stunned. This app is THE HELP you want for school and above all, it offers so many things, such as workouts and fact sheets, which have been VERY helpful to me personally.
Anna
iOS user
I think it’s very much worth it and you’ll end up using it a lot once you get the hang of it and even after looking at others notes you can still ask your Artificial intelligence buddy the question and ask to simplify it if you still don’t get it!!! In the end I think it’s worth it 😊👍 ⚠️Also DID I MENTION ITS FREEE YOU DON’T HAVE TO PAY FOR ANYTHING AND STILL GET YOUR GRADES IN PERFECTLY❗️❗️⚠️
Thomas R
iOS user
Knowunity is the BEST app I’ve used in a minute. This is not an ai review or anything this is genuinely coming from a 7th grade student (I know 2011 im young) but dude this app is a 10/10 i have maintained a 3.8 gpa and have plenty of time for gaming. I love it and my mom is just happy I got good grades
Brad T
Android user
Not only did it help me find the answer but it also showed me alternative ways to solve it. I was horrible in math and science but now I have an a in both subjects. Thanks for the help🤍🤍
David K
iOS user
The app's just great! All I have to do is enter the topic in the search bar and I get the response real fast. I don't have to watch 10 YouTube videos to understand something, so I'm saving my time. Highly recommended!
Sudenaz Ocak
Android user
In school I was really bad at maths but thanks to the app, I am doing better now. I am so grateful that you made the app.
Greenlight Bonnie
Android user
I found this app a couple years ago and it has only gotten better since then. I really love it because it can help with written questions and photo questions. Also, it can find study guides that other people have made as well as flashcard sets and practice tests. The free version is also amazing for students who might not be able to afford it. Would 100% recommend
Aubrey
iOS user
Best app if you're in Highschool or Junior high. I have been using this app for 2 school years and it's the best, it's good if you don't have anyone to help you with school work.😋🩷🎀
Marco B
iOS user
THE QUIZES AND FLASHCARDS ARE SO USEFUL AND I LOVE Knowunity AI. IT ALSO IS LITREALLY LIKE CHATGPT BUT SMARTER!! HELPED ME WITH MY MASCARA PROBLEMS TOO!! AS WELL AS MY REAL SUBJECTS ! DUHHH 😍😁😲🤑💗✨🎀😮
Elisha
iOS user
This app is phenomenal down to the correct info and the various topics you can study! I greatly recommend it for people who struggle with procrastination and those who need homework help. It has been perfectly accurate for world 1 history as far as I’ve seen! Geometry too!
Paul T
iOS user
The app is very easy to use and well designed. I have found everything I was looking for so far and have been able to learn a lot from the presentations! I will definitely use the app for a class assignment! And of course it also helps a lot as an inspiration.
Stefan S
iOS user
This app is really great. There are so many study notes and help [...]. My problem subject is French, for example, and the app has so many options for help. Thanks to this app, I have improved my French. I would recommend it to anyone.
Samantha Klich
Android user
Wow, I am really amazed. I just tried the app because I've seen it advertised many times and was absolutely stunned. This app is THE HELP you want for school and above all, it offers so many things, such as workouts and fact sheets, which have been VERY helpful to me personally.
Anna
iOS user
I think it’s very much worth it and you’ll end up using it a lot once you get the hang of it and even after looking at others notes you can still ask your Artificial intelligence buddy the question and ask to simplify it if you still don’t get it!!! In the end I think it’s worth it 😊👍 ⚠️Also DID I MENTION ITS FREEE YOU DON’T HAVE TO PAY FOR ANYTHING AND STILL GET YOUR GRADES IN PERFECTLY❗️❗️⚠️
Thomas R
iOS user
Knowunity is the BEST app I’ve used in a minute. This is not an ai review or anything this is genuinely coming from a 7th grade student (I know 2011 im young) but dude this app is a 10/10 i have maintained a 3.8 gpa and have plenty of time for gaming. I love it and my mom is just happy I got good grades
Brad T
Android user
Not only did it help me find the answer but it also showed me alternative ways to solve it. I was horrible in math and science but now I have an a in both subjects. Thanks for the help🤍🤍
David K
iOS user
The app's just great! All I have to do is enter the topic in the search bar and I get the response real fast. I don't have to watch 10 YouTube videos to understand something, so I'm saving my time. Highly recommended!
Sudenaz Ocak
Android user
In school I was really bad at maths but thanks to the app, I am doing better now. I am so grateful that you made the app.
Greenlight Bonnie
Android user
I found this app a couple years ago and it has only gotten better since then. I really love it because it can help with written questions and photo questions. Also, it can find study guides that other people have made as well as flashcard sets and practice tests. The free version is also amazing for students who might not be able to afford it. Would 100% recommend
Aubrey
iOS user
Best app if you're in Highschool or Junior high. I have been using this app for 2 school years and it's the best, it's good if you don't have anyone to help you with school work.😋🩷🎀
Marco B
iOS user
THE QUIZES AND FLASHCARDS ARE SO USEFUL AND I LOVE Knowunity AI. IT ALSO IS LITREALLY LIKE CHATGPT BUT SMARTER!! HELPED ME WITH MY MASCARA PROBLEMS TOO!! AS WELL AS MY REAL SUBJECTS ! DUHHH 😍😁😲🤑💗✨🎀😮
Elisha
iOS user
This app is phenomenal down to the correct info and the various topics you can study! I greatly recommend it for people who struggle with procrastination and those who need homework help. It has been perfectly accurate for world 1 history as far as I’ve seen! Geometry too!
Paul T
iOS user