Valence electrons are the key players in chemistry, determining how... Show more
Sign up to see the contentIt's free!
Access to all documents
Improve your grades
Join milions of students
Knowunity AI
Subjects
Triangle Congruence and Similarity Theorems
Triangle Properties and Classification
Linear Equations and Graphs
Geometric Angle Relationships
Trigonometric Functions and Identities
Equation Solving Techniques
Circle Geometry Fundamentals
Division Operations and Methods
Basic Differentiation Rules
Exponent and Logarithm Properties
Show all topics
Human Organ Systems
Reproductive Cell Cycles
Biological Sciences Subdisciplines
Cellular Energy Metabolism
Autotrophic Energy Processes
Inheritance Patterns and Principles
Biomolecular Structure and Organization
Cell Cycle and Division Mechanics
Cellular Organization and Development
Biological Structural Organization
Show all topics
Chemical Sciences and Applications
Atomic Structure and Composition
Molecular Electron Structure Representation
Atomic Electron Behavior
Matter Properties and Water
Mole Concept and Calculations
Gas Laws and Behavior
Periodic Table Organization
Chemical Thermodynamics Fundamentals
Chemical Bond Types and Properties
Show all topics
European Renaissance and Enlightenment
European Cultural Movements 800-1920
American Revolution Era 1763-1797
American Civil War 1861-1865
Global Imperial Systems
Mongol and Chinese Dynasties
U.S. Presidents and World Leaders
Historical Sources and Documentation
World Wars Era and Impact
World Religious Systems
Show all topics
Classic and Contemporary Novels
Literary Character Analysis
Rhetorical Theory and Practice
Classic Literary Narratives
Reading Analysis and Interpretation
Narrative Structure and Techniques
English Language Components
Influential English-Language Authors
Basic Sentence Structure
Narrative Voice and Perspective
Show all topics
64
•
Updated Feb 19, 2026
•
thatweebudontknow
@thatweebudontknow
Valence electrons are the key players in chemistry, determining how... Show more






Valence electrons are the electrons in the outermost energy level of an atom. These are the electrons that interact with other atoms during chemical reactions, either through sharing or exchanging to achieve a full set of 8 valence electrons (the octet rule). Elements with the same number of valence electrons tend to have similar chemical properties.
The position of valence electrons actually determines the size of an atom. When valence electrons are closer to the nucleus, the atom is smaller. Conversely, when valence electrons are farther from the nucleus, the atom is larger.
All electrons that aren't valence electrons are called inner electrons. You can find the number of inner electrons by subtracting the number of valence electrons from the total number of electrons. For neutral atoms, the number of electrons equals the atomic number.
Quick Tip: To find inner electrons in a neutral atom, just subtract the number of valence electrons from the atomic number. For example, lithium (Li) has 3 electrons total with 1 valence electron, leaving 2 inner electrons.

Coulomb's Law explains the forces between charged particles. The formula shows that the force between two charges is proportional to the product of their charges and inversely proportional to the square of the distance between them.
The law works simply: like charges repel each other, while opposite charges attract. This explains why negatively charged electrons are attracted to the positively charged nucleus in an atom.
The strength of these forces follows clear patterns. More charges create stronger forces, while greater distances create weaker forces. This relationship is key to understanding atomic size and ionization energy.
Real-world connection: Coulomb's Law is like friendship - the closer you are to someone, the stronger your influence on each other. As you move apart, that influence weakens dramatically!

The size of an atom depends on a battle between two forces: attraction and repulsion. The force of attraction comes from the protons in the nucleus pulling on the electrons. More protons mean stronger attraction, which pulls valence electrons closer to the nucleus, making atoms smaller.
The force of repulsion comes from inner electrons pushing against the valence electrons. More inner electrons create stronger repulsion, pushing valence electrons farther from the nucleus and making atoms larger.
When comparing elements in the same row of the periodic table (like F and Li), the number of inner electrons is often the same, so the attraction force becomes the deciding factor. For example, fluorine has more protons than lithium, creating stronger attraction and making fluorine atoms smaller. This creates a horizontal trend: atoms get larger as you move left across the periodic table.
When comparing elements in the same column (like Li and Cs), both the number of protons and inner electrons increase as you move down. However, the repulsion effect typically wins out. Cesium has many more inner electrons than lithium, creating stronger repulsion and making cesium atoms larger than lithium atoms.
Remember: When moving down a column in the periodic table, both attraction and repulsion forces increase, but repulsion usually has the stronger effect, making atoms larger as you go down.

Atomic size follows predictable patterns across the periodic table. As you move from right to left across a period (row), atoms get larger because there are fewer protons creating less attraction. As you move down a group (column), atoms also get larger because the increasing number of inner electrons creates stronger repulsion forces.
These patterns explain why cesium (Cs) is the largest element on the periodic table. It's positioned in the lower left region, where elements have the largest atomic radii. Conversely, elements in the upper right tend to be smallest.
When comparing atomic sizes, remember to analyze both the attraction and repulsion forces. For example, when ordering C, Li, and F from smallest to largest, you get F, C, Li because fluorine has the strongest attraction force with its 9 protons but only 2 inner electrons.
Test Tip: When comparing elements across different rows and columns, always check both proton count (attraction) and inner electron count (repulsion) to determine relative size.

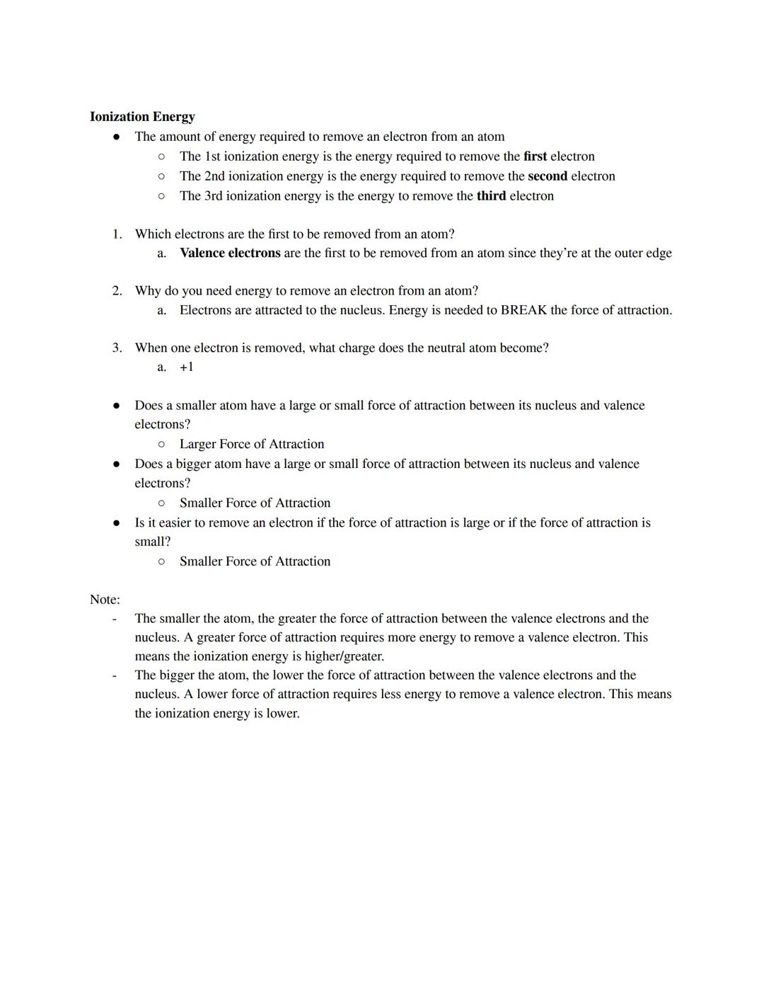
Ionization energy is the amount of energy needed to remove an electron from an atom. The first ionization energy refers to removing the first electron, the second ionization energy refers to removing the second electron, and so on. This always creates a positively charged ion.
Valence electrons are the first to be removed since they're farthest from the nucleus. Since electrons are naturally attracted to the nucleus, energy is required to break this attraction. When a neutral atom loses an electron, it gains a +1 charge.
The size of an atom directly affects its ionization energy. Smaller atoms have stronger attraction forces between the nucleus and valence electrons, requiring more energy to remove those electrons. This means smaller atoms have higher ionization energies.
Larger atoms have weaker attraction forces between the nucleus and valence electrons, making it easier to remove electrons and resulting in lower ionization energies. This creates a pattern across the periodic table where ionization energy generally increases as you move from left to right and decreases as you move down.
Analogy Alert: Think of ionization energy like pulling a magnet off a refrigerator. The closer the magnet (electron) is to the fridge (nucleus), the more strength (energy) you need to remove it!
Our AI companion is specifically built for the needs of students. Based on the millions of content pieces we have on the platform we can provide truly meaningful and relevant answers to students. But its not only about answers, the companion is even more about guiding students through their daily learning challenges, with personalised study plans, quizzes or content pieces in the chat and 100% personalisation based on the students skills and developments.
You can download the app in the Google Play Store and in the Apple App Store.
That's right! Enjoy free access to study content, connect with fellow students, and get instant help – all at your fingertips.
App Store
Google Play
The app is very easy to use and well designed. I have found everything I was looking for so far and have been able to learn a lot from the presentations! I will definitely use the app for a class assignment! And of course it also helps a lot as an inspiration.
Stefan S
iOS user
This app is really great. There are so many study notes and help [...]. My problem subject is French, for example, and the app has so many options for help. Thanks to this app, I have improved my French. I would recommend it to anyone.
Samantha Klich
Android user
Wow, I am really amazed. I just tried the app because I've seen it advertised many times and was absolutely stunned. This app is THE HELP you want for school and above all, it offers so many things, such as workouts and fact sheets, which have been VERY helpful to me personally.
Anna
iOS user
I think it’s very much worth it and you’ll end up using it a lot once you get the hang of it and even after looking at others notes you can still ask your Artificial intelligence buddy the question and ask to simplify it if you still don’t get it!!! In the end I think it’s worth it 😊👍 ⚠️Also DID I MENTION ITS FREEE YOU DON’T HAVE TO PAY FOR ANYTHING AND STILL GET YOUR GRADES IN PERFECTLY❗️❗️⚠️
Thomas R
iOS user
Knowunity is the BEST app I’ve used in a minute. This is not an ai review or anything this is genuinely coming from a 7th grade student (I know 2011 im young) but dude this app is a 10/10 i have maintained a 3.8 gpa and have plenty of time for gaming. I love it and my mom is just happy I got good grades
Brad T
Android user
Not only did it help me find the answer but it also showed me alternative ways to solve it. I was horrible in math and science but now I have an a in both subjects. Thanks for the help🤍🤍
David K
iOS user
The app's just great! All I have to do is enter the topic in the search bar and I get the response real fast. I don't have to watch 10 YouTube videos to understand something, so I'm saving my time. Highly recommended!
Sudenaz Ocak
Android user
In school I was really bad at maths but thanks to the app, I am doing better now. I am so grateful that you made the app.
Greenlight Bonnie
Android user
I found this app a couple years ago and it has only gotten better since then. I really love it because it can help with written questions and photo questions. Also, it can find study guides that other people have made as well as flashcard sets and practice tests. The free version is also amazing for students who might not be able to afford it. Would 100% recommend
Aubrey
iOS user
Best app if you're in Highschool or Junior high. I have been using this app for 2 school years and it's the best, it's good if you don't have anyone to help you with school work.😋🩷🎀
Marco B
iOS user
THE QUIZES AND FLASHCARDS ARE SO USEFUL AND I LOVE Knowunity AI. IT ALSO IS LITREALLY LIKE CHATGPT BUT SMARTER!! HELPED ME WITH MY MASCARA PROBLEMS TOO!! AS WELL AS MY REAL SUBJECTS ! DUHHH 😍😁😲🤑💗✨🎀😮
Elisha
iOS user
This app is phenomenal down to the correct info and the various topics you can study! I greatly recommend it for people who struggle with procrastination and those who need homework help. It has been perfectly accurate for world 1 history as far as I’ve seen! Geometry too!
Paul T
iOS user
The app is very easy to use and well designed. I have found everything I was looking for so far and have been able to learn a lot from the presentations! I will definitely use the app for a class assignment! And of course it also helps a lot as an inspiration.
Stefan S
iOS user
This app is really great. There are so many study notes and help [...]. My problem subject is French, for example, and the app has so many options for help. Thanks to this app, I have improved my French. I would recommend it to anyone.
Samantha Klich
Android user
Wow, I am really amazed. I just tried the app because I've seen it advertised many times and was absolutely stunned. This app is THE HELP you want for school and above all, it offers so many things, such as workouts and fact sheets, which have been VERY helpful to me personally.
Anna
iOS user
I think it’s very much worth it and you’ll end up using it a lot once you get the hang of it and even after looking at others notes you can still ask your Artificial intelligence buddy the question and ask to simplify it if you still don’t get it!!! In the end I think it’s worth it 😊👍 ⚠️Also DID I MENTION ITS FREEE YOU DON’T HAVE TO PAY FOR ANYTHING AND STILL GET YOUR GRADES IN PERFECTLY❗️❗️⚠️
Thomas R
iOS user
Knowunity is the BEST app I’ve used in a minute. This is not an ai review or anything this is genuinely coming from a 7th grade student (I know 2011 im young) but dude this app is a 10/10 i have maintained a 3.8 gpa and have plenty of time for gaming. I love it and my mom is just happy I got good grades
Brad T
Android user
Not only did it help me find the answer but it also showed me alternative ways to solve it. I was horrible in math and science but now I have an a in both subjects. Thanks for the help🤍🤍
David K
iOS user
The app's just great! All I have to do is enter the topic in the search bar and I get the response real fast. I don't have to watch 10 YouTube videos to understand something, so I'm saving my time. Highly recommended!
Sudenaz Ocak
Android user
In school I was really bad at maths but thanks to the app, I am doing better now. I am so grateful that you made the app.
Greenlight Bonnie
Android user
I found this app a couple years ago and it has only gotten better since then. I really love it because it can help with written questions and photo questions. Also, it can find study guides that other people have made as well as flashcard sets and practice tests. The free version is also amazing for students who might not be able to afford it. Would 100% recommend
Aubrey
iOS user
Best app if you're in Highschool or Junior high. I have been using this app for 2 school years and it's the best, it's good if you don't have anyone to help you with school work.😋🩷🎀
Marco B
iOS user
THE QUIZES AND FLASHCARDS ARE SO USEFUL AND I LOVE Knowunity AI. IT ALSO IS LITREALLY LIKE CHATGPT BUT SMARTER!! HELPED ME WITH MY MASCARA PROBLEMS TOO!! AS WELL AS MY REAL SUBJECTS ! DUHHH 😍😁😲🤑💗✨🎀😮
Elisha
iOS user
This app is phenomenal down to the correct info and the various topics you can study! I greatly recommend it for people who struggle with procrastination and those who need homework help. It has been perfectly accurate for world 1 history as far as I’ve seen! Geometry too!
Paul T
iOS user
thatweebudontknow
@thatweebudontknow
Valence electrons are the key players in chemistry, determining how atoms interact and form bonds. These electrons in the outermost energy level influence atomic size and chemical behavior. Understanding how they function helps explain patterns across the periodic table and... Show more

Access to all documents
Improve your grades
Join milions of students
Valence electrons are the electrons in the outermost energy level of an atom. These are the electrons that interact with other atoms during chemical reactions, either through sharing or exchanging to achieve a full set of 8 valence electrons (the octet rule). Elements with the same number of valence electrons tend to have similar chemical properties.
The position of valence electrons actually determines the size of an atom. When valence electrons are closer to the nucleus, the atom is smaller. Conversely, when valence electrons are farther from the nucleus, the atom is larger.
All electrons that aren't valence electrons are called inner electrons. You can find the number of inner electrons by subtracting the number of valence electrons from the total number of electrons. For neutral atoms, the number of electrons equals the atomic number.
Quick Tip: To find inner electrons in a neutral atom, just subtract the number of valence electrons from the atomic number. For example, lithium (Li) has 3 electrons total with 1 valence electron, leaving 2 inner electrons.

Access to all documents
Improve your grades
Join milions of students
Coulomb's Law explains the forces between charged particles. The formula shows that the force between two charges is proportional to the product of their charges and inversely proportional to the square of the distance between them.
The law works simply: like charges repel each other, while opposite charges attract. This explains why negatively charged electrons are attracted to the positively charged nucleus in an atom.
The strength of these forces follows clear patterns. More charges create stronger forces, while greater distances create weaker forces. This relationship is key to understanding atomic size and ionization energy.
Real-world connection: Coulomb's Law is like friendship - the closer you are to someone, the stronger your influence on each other. As you move apart, that influence weakens dramatically!

Access to all documents
Improve your grades
Join milions of students
The size of an atom depends on a battle between two forces: attraction and repulsion. The force of attraction comes from the protons in the nucleus pulling on the electrons. More protons mean stronger attraction, which pulls valence electrons closer to the nucleus, making atoms smaller.
The force of repulsion comes from inner electrons pushing against the valence electrons. More inner electrons create stronger repulsion, pushing valence electrons farther from the nucleus and making atoms larger.
When comparing elements in the same row of the periodic table (like F and Li), the number of inner electrons is often the same, so the attraction force becomes the deciding factor. For example, fluorine has more protons than lithium, creating stronger attraction and making fluorine atoms smaller. This creates a horizontal trend: atoms get larger as you move left across the periodic table.
When comparing elements in the same column (like Li and Cs), both the number of protons and inner electrons increase as you move down. However, the repulsion effect typically wins out. Cesium has many more inner electrons than lithium, creating stronger repulsion and making cesium atoms larger than lithium atoms.
Remember: When moving down a column in the periodic table, both attraction and repulsion forces increase, but repulsion usually has the stronger effect, making atoms larger as you go down.

Access to all documents
Improve your grades
Join milions of students
Atomic size follows predictable patterns across the periodic table. As you move from right to left across a period (row), atoms get larger because there are fewer protons creating less attraction. As you move down a group (column), atoms also get larger because the increasing number of inner electrons creates stronger repulsion forces.
These patterns explain why cesium (Cs) is the largest element on the periodic table. It's positioned in the lower left region, where elements have the largest atomic radii. Conversely, elements in the upper right tend to be smallest.
When comparing atomic sizes, remember to analyze both the attraction and repulsion forces. For example, when ordering C, Li, and F from smallest to largest, you get F, C, Li because fluorine has the strongest attraction force with its 9 protons but only 2 inner electrons.
Test Tip: When comparing elements across different rows and columns, always check both proton count (attraction) and inner electron count (repulsion) to determine relative size.

Access to all documents
Improve your grades
Join milions of students
Ionization energy is the amount of energy needed to remove an electron from an atom. The first ionization energy refers to removing the first electron, the second ionization energy refers to removing the second electron, and so on. This always creates a positively charged ion.
Valence electrons are the first to be removed since they're farthest from the nucleus. Since electrons are naturally attracted to the nucleus, energy is required to break this attraction. When a neutral atom loses an electron, it gains a +1 charge.
The size of an atom directly affects its ionization energy. Smaller atoms have stronger attraction forces between the nucleus and valence electrons, requiring more energy to remove those electrons. This means smaller atoms have higher ionization energies.
Larger atoms have weaker attraction forces between the nucleus and valence electrons, making it easier to remove electrons and resulting in lower ionization energies. This creates a pattern across the periodic table where ionization energy generally increases as you move from left to right and decreases as you move down.
Analogy Alert: Think of ionization energy like pulling a magnet off a refrigerator. The closer the magnet (electron) is to the fridge (nucleus), the more strength (energy) you need to remove it!
Our AI companion is specifically built for the needs of students. Based on the millions of content pieces we have on the platform we can provide truly meaningful and relevant answers to students. But its not only about answers, the companion is even more about guiding students through their daily learning challenges, with personalised study plans, quizzes or content pieces in the chat and 100% personalisation based on the students skills and developments.
You can download the app in the Google Play Store and in the Apple App Store.
That's right! Enjoy free access to study content, connect with fellow students, and get instant help – all at your fingertips.
2
Smart Tools NEW
Transform this note into: ✓ 50+ Practice Questions ✓ Interactive Flashcards ✓ Full Practice Test ✓ Essay Outlines
This content contains atoms and elements, ion isotopes, and bonds
HS AP Chem
covers all material in honors chem 1 to study for a final or midterm exam
Explore the properties, reactivity trends, and bonding characteristics of Group 7 elements (halogens). This summary covers the increasing atomic size, the nature of covalent and ionic bonds, and displacement reactions among halogens. Ideal for students studying chemical bonding and periodic trends.
textbook outline of the early history of chem, fundamental chem laws, Dalton's Atomic Theory, early experiments, modern view of atomic structure, molecules and ions, periodic table intro, naming simple compounds
Understanding the location and movement of electrons within the atomic structure based on probability maps and orbital regions.
App Store
Google Play
The app is very easy to use and well designed. I have found everything I was looking for so far and have been able to learn a lot from the presentations! I will definitely use the app for a class assignment! And of course it also helps a lot as an inspiration.
Stefan S
iOS user
This app is really great. There are so many study notes and help [...]. My problem subject is French, for example, and the app has so many options for help. Thanks to this app, I have improved my French. I would recommend it to anyone.
Samantha Klich
Android user
Wow, I am really amazed. I just tried the app because I've seen it advertised many times and was absolutely stunned. This app is THE HELP you want for school and above all, it offers so many things, such as workouts and fact sheets, which have been VERY helpful to me personally.
Anna
iOS user
I think it’s very much worth it and you’ll end up using it a lot once you get the hang of it and even after looking at others notes you can still ask your Artificial intelligence buddy the question and ask to simplify it if you still don’t get it!!! In the end I think it’s worth it 😊👍 ⚠️Also DID I MENTION ITS FREEE YOU DON’T HAVE TO PAY FOR ANYTHING AND STILL GET YOUR GRADES IN PERFECTLY❗️❗️⚠️
Thomas R
iOS user
Knowunity is the BEST app I’ve used in a minute. This is not an ai review or anything this is genuinely coming from a 7th grade student (I know 2011 im young) but dude this app is a 10/10 i have maintained a 3.8 gpa and have plenty of time for gaming. I love it and my mom is just happy I got good grades
Brad T
Android user
Not only did it help me find the answer but it also showed me alternative ways to solve it. I was horrible in math and science but now I have an a in both subjects. Thanks for the help🤍🤍
David K
iOS user
The app's just great! All I have to do is enter the topic in the search bar and I get the response real fast. I don't have to watch 10 YouTube videos to understand something, so I'm saving my time. Highly recommended!
Sudenaz Ocak
Android user
In school I was really bad at maths but thanks to the app, I am doing better now. I am so grateful that you made the app.
Greenlight Bonnie
Android user
I found this app a couple years ago and it has only gotten better since then. I really love it because it can help with written questions and photo questions. Also, it can find study guides that other people have made as well as flashcard sets and practice tests. The free version is also amazing for students who might not be able to afford it. Would 100% recommend
Aubrey
iOS user
Best app if you're in Highschool or Junior high. I have been using this app for 2 school years and it's the best, it's good if you don't have anyone to help you with school work.😋🩷🎀
Marco B
iOS user
THE QUIZES AND FLASHCARDS ARE SO USEFUL AND I LOVE Knowunity AI. IT ALSO IS LITREALLY LIKE CHATGPT BUT SMARTER!! HELPED ME WITH MY MASCARA PROBLEMS TOO!! AS WELL AS MY REAL SUBJECTS ! DUHHH 😍😁😲🤑💗✨🎀😮
Elisha
iOS user
This app is phenomenal down to the correct info and the various topics you can study! I greatly recommend it for people who struggle with procrastination and those who need homework help. It has been perfectly accurate for world 1 history as far as I’ve seen! Geometry too!
Paul T
iOS user
The app is very easy to use and well designed. I have found everything I was looking for so far and have been able to learn a lot from the presentations! I will definitely use the app for a class assignment! And of course it also helps a lot as an inspiration.
Stefan S
iOS user
This app is really great. There are so many study notes and help [...]. My problem subject is French, for example, and the app has so many options for help. Thanks to this app, I have improved my French. I would recommend it to anyone.
Samantha Klich
Android user
Wow, I am really amazed. I just tried the app because I've seen it advertised many times and was absolutely stunned. This app is THE HELP you want for school and above all, it offers so many things, such as workouts and fact sheets, which have been VERY helpful to me personally.
Anna
iOS user
I think it’s very much worth it and you’ll end up using it a lot once you get the hang of it and even after looking at others notes you can still ask your Artificial intelligence buddy the question and ask to simplify it if you still don’t get it!!! In the end I think it’s worth it 😊👍 ⚠️Also DID I MENTION ITS FREEE YOU DON’T HAVE TO PAY FOR ANYTHING AND STILL GET YOUR GRADES IN PERFECTLY❗️❗️⚠️
Thomas R
iOS user
Knowunity is the BEST app I’ve used in a minute. This is not an ai review or anything this is genuinely coming from a 7th grade student (I know 2011 im young) but dude this app is a 10/10 i have maintained a 3.8 gpa and have plenty of time for gaming. I love it and my mom is just happy I got good grades
Brad T
Android user
Not only did it help me find the answer but it also showed me alternative ways to solve it. I was horrible in math and science but now I have an a in both subjects. Thanks for the help🤍🤍
David K
iOS user
The app's just great! All I have to do is enter the topic in the search bar and I get the response real fast. I don't have to watch 10 YouTube videos to understand something, so I'm saving my time. Highly recommended!
Sudenaz Ocak
Android user
In school I was really bad at maths but thanks to the app, I am doing better now. I am so grateful that you made the app.
Greenlight Bonnie
Android user
I found this app a couple years ago and it has only gotten better since then. I really love it because it can help with written questions and photo questions. Also, it can find study guides that other people have made as well as flashcard sets and practice tests. The free version is also amazing for students who might not be able to afford it. Would 100% recommend
Aubrey
iOS user
Best app if you're in Highschool or Junior high. I have been using this app for 2 school years and it's the best, it's good if you don't have anyone to help you with school work.😋🩷🎀
Marco B
iOS user
THE QUIZES AND FLASHCARDS ARE SO USEFUL AND I LOVE Knowunity AI. IT ALSO IS LITREALLY LIKE CHATGPT BUT SMARTER!! HELPED ME WITH MY MASCARA PROBLEMS TOO!! AS WELL AS MY REAL SUBJECTS ! DUHHH 😍😁😲🤑💗✨🎀😮
Elisha
iOS user
This app is phenomenal down to the correct info and the various topics you can study! I greatly recommend it for people who struggle with procrastination and those who need homework help. It has been perfectly accurate for world 1 history as far as I’ve seen! Geometry too!
Paul T
iOS user