The digestive system is a complex network of organs working... Show more
Sign up to see the contentIt's free!
Access to all documents
Improve your grades
Join milions of students
Knowunity AI
Subjects
Triangle Congruence and Similarity Theorems
Triangle Properties and Classification
Linear Equations and Graphs
Geometric Angle Relationships
Trigonometric Functions and Identities
Equation Solving Techniques
Circle Geometry Fundamentals
Division Operations and Methods
Basic Differentiation Rules
Exponent and Logarithm Properties
Show all topics
Human Organ Systems
Reproductive Cell Cycles
Biological Sciences Subdisciplines
Cellular Energy Metabolism
Autotrophic Energy Processes
Inheritance Patterns and Principles
Biomolecular Structure and Organization
Cell Cycle and Division Mechanics
Cellular Organization and Development
Biological Structural Organization
Show all topics
Chemical Sciences and Applications
Atomic Structure and Composition
Molecular Electron Structure Representation
Atomic Electron Behavior
Matter Properties and Water
Mole Concept and Calculations
Gas Laws and Behavior
Periodic Table Organization
Chemical Thermodynamics Fundamentals
Chemical Bond Types and Properties
Show all topics
European Renaissance and Enlightenment
European Cultural Movements 800-1920
American Revolution Era 1763-1797
American Civil War 1861-1865
Global Imperial Systems
Mongol and Chinese Dynasties
U.S. Presidents and World Leaders
Historical Sources and Documentation
World Wars Era and Impact
World Religious Systems
Show all topics
Classic and Contemporary Novels
Literary Character Analysis
Rhetorical Theory and Practice
Classic Literary Narratives
Reading Analysis and Interpretation
Narrative Structure and Techniques
English Language Components
Influential English-Language Authors
Basic Sentence Structure
Narrative Voice and Perspective
Show all topics
87
•
Updated Feb 26, 2026
•
andi :]
@snuggly_bunbun
The digestive system is a complex network of organs working... Show more








Your digestive journey begins in your mouth, the entrance to the digestive system. When you take a bite of food, it enters a specially designed space with several important parts: lips that protect the opening, cheeks forming the sides, and both hard and soft palates forming the roof.
The star of the mouth is your tongue, which sits on the floor of your mouth attached by the lingual frenulum (that little piece of tissue under your tongue). Your tongue does more than just help you talk—it mixes food with saliva and helps you swallow. The surface of your tongue contains papillae which house your taste buds, making food enjoyable rather than just fuel.
Other important structures include your tonsils (which can become inflamed and make swallowing difficult) and the uvula (that dangling piece at the back of your throat). If someone is "tongue-tied," it means they have a short lingual frenulum that can affect speech and may need to be surgically corrected.
Did you know? The uvula isn't just a random piece of tissue—it helps prevent food from going up into your nasal cavity when you swallow and plays a role in your gag reflex!

After you swallow, food moves into your pharynx (throat), which has three sections: the nasopharynx (part of your respiratory system), the oropharynx (connected to your mouth), and the laryngopharynx (which leads to your esophagus). The food then travels down your esophagus, a muscular tube connecting your throat to your stomach.
Food doesn't just fall down your esophagus—it's actively pushed along by peristalsis, a wave-like motion created by alternating contractions of two muscle layers. This important process ensures food keeps moving in the right direction.
The digestive tract from the esophagus onward has four main tissue layers that work together. From inside to outside: the mucosa (innermost lining), submucosa (soft connective tissue), muscularis externa (muscle layers that create peristalsis), and serosa (the outer protective layer). These layers are critical for both protection and function.
Watch out! If bacteria enter the peritoneal cavity (the space around your digestive organs), you can develop peritonitis. Your body initially tries to contain the infection by causing the peritoneal membranes to stick together, but medical attention is needed to resolve it.

Your stomach is much more than just a food bag—it's a temporary storage tank with specialized regions. The fundus at the top, the main body in the middle, and the pylorus at the bottom where most digestion happens. Food enters through the cardioesophageal sphincter and exits as chyme (partially digested food) through the pyloric sphincter.
The stomach has two protective structures called omentums. The lesser omentum connects the stomach to the liver, while the greater omentum acts like a protective blanket over your abdominal organs. This greater omentum not only cushions your organs but contains defensive cells from your immune system.
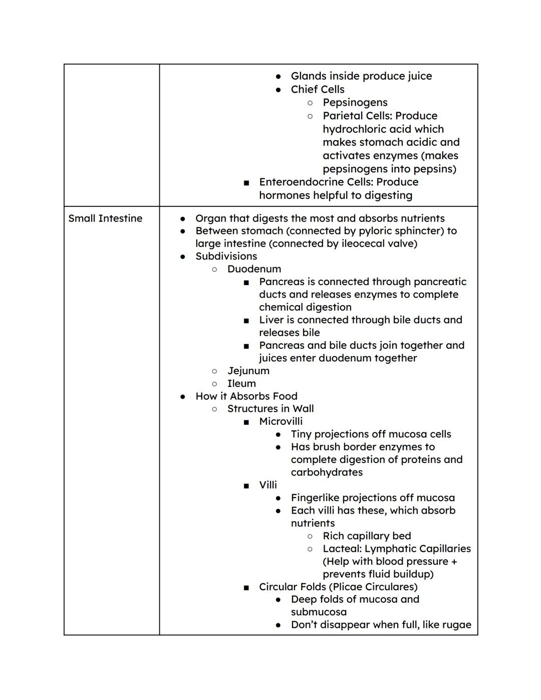
Your stomach digests food in two ways. Mechanically, the strong muscles of the muscularis externa churn and break food into smaller fragments. Chemically, the stomach lining (made of simple columnar epithelium) contains millions of gastric pits with specialized cells. Chief cells produce pepsinogens, parietal cells create hydrochloric acid (making the stomach acidic), and enteroendocrine cells release helpful digestive hormones.
Amazing fact: Your stomach protects itself from being digested by its own powerful acids! The mucosa produces a thick layer of protective mucus that prevents the stomach from essentially digesting itself.

The small intestine is the digestive superstar—it's where most digestion occurs and nutrients are absorbed into your bloodstream. This long tube connects the stomach to the large intestine and has three main sections: the duodenum, jejunum, and ileum.
In the duodenum, digestive juices from the pancreas and liver enter through ducts to help break down food. The pancreas provides enzymes that complete chemical digestion, while the liver supplies bile to process fats. These important fluids enter the duodenum together through joined ducts.
The small intestine has amazing adaptations to maximize absorption. Its walls contain microvilli (tiny projections with digestive enzymes), villi , and circular folds that increase surface area. The walls also contain Peyer's patches—collections of lymphatic tissue that prevent bacteria from entering your bloodstream.
Cool structure alert: If you could unfold all the surface area in your small intestine (including villi and microvilli), it would cover a tennis court! This massive surface area ensures you absorb as many nutrients as possible from your food.

After nutrients are absorbed in the small intestine, what's left moves into the large intestine, which focuses on absorbing water and forming waste (feces). This final section of the digestive tract has several parts working together.
The journey through the large intestine begins at the cecum, a pouch-like structure with the appendix attached (which can become infected, causing appendicitis). Food then travels through the colon, which has four sections: ascending (up), transverse (across), descending (down), and sigmoid . Finally, waste is stored in the rectum before leaving the body through the anus, which has both voluntary and involuntary sphincters.
The large intestine has special features that help with its functions. Goblet cells produce mucus to lubricate feces as it moves through, making elimination easier. The muscle layer of the large intestine typically stays contracted, creating small pouches called haustra that characterize its appearance.
Name origin: The sigmoid colon gets its name from its distinctive S-shape—"sigmoid" comes from the Greek letter sigma (σ), which in its ancient form resembled an S!

Your salivary glands produce saliva that starts the digestive process in your mouth. Saliva contains mucus, serous fluids, salivary amylase (an enzyme that breaks down starch), lysozyme, and antibodies that fight bacteria. This mixture moistens food for easy chewing and swallowing, begins starch digestion, inhibits harmful bacteria, and dissolves food chemicals so you can taste them.
You have three pairs of major salivary glands. The parotid glands sit in your cheeks and can become inflamed with mumps. The submandibular glands and sublingual glands both empty through ducts into the floor of your mouth.
The pancreas has dual roles in digestion. It produces powerful enzymes that break down all types of food particles (proteins, carbohydrates, and fats), which are secreted into the duodenum in a neutralizing fluid. It also produces the hormones insulin and glucagon, which regulate blood sugar levels.
Health note: Mumps, an inflammation of the parotid glands, was once a common childhood disease that made opening the mouth and chewing painful. Thanks to vaccines, mumps is now much less common in developed countries.

Your liver is a digestive powerhouse that produces bile, a greenish fluid that emulsifies fats—breaking them into tiny droplets that are easier for enzymes to process. Bile contains bile salts, bile pigments (bilirubin), cholesterol, phospholipids, and electrolytes. It travels from the liver to the duodenum through the common hepatic duct and bile duct.
Several liver conditions can affect digestion. Jaundice occurs when bile builds up in the bloodstream (turning skin yellow) due to blocked ducts. Hepatitis is inflammation of the liver, often caused by viral infections. Cirrhosis involves severe liver damage, typically from excessive alcohol consumption or advanced hepatitis.
The gallbladder stores and concentrates bile when you're not eating. When fatty foods enter your duodenum, the gallbladder receives signals to release bile through the cystic duct. Sometimes cholesterol in bile can crystallize, forming sharp, painful gallstones. This typically happens when bile stays in the gallbladder too long or becomes too concentrated.
Clarification: Despite common belief, vomit isn't actually bile. What people call "bile" when they throw up is usually stomach acid and partially digested food. True bile is typically only seen in vomit after extended, severe vomiting when the duodenal contents get pushed backward.
Our AI companion is specifically built for the needs of students. Based on the millions of content pieces we have on the platform we can provide truly meaningful and relevant answers to students. But its not only about answers, the companion is even more about guiding students through their daily learning challenges, with personalised study plans, quizzes or content pieces in the chat and 100% personalisation based on the students skills and developments.
You can download the app in the Google Play Store and in the Apple App Store.
That's right! Enjoy free access to study content, connect with fellow students, and get instant help – all at your fingertips.
App Store
Google Play
The app is very easy to use and well designed. I have found everything I was looking for so far and have been able to learn a lot from the presentations! I will definitely use the app for a class assignment! And of course it also helps a lot as an inspiration.
Stefan S
iOS user
This app is really great. There are so many study notes and help [...]. My problem subject is French, for example, and the app has so many options for help. Thanks to this app, I have improved my French. I would recommend it to anyone.
Samantha Klich
Android user
Wow, I am really amazed. I just tried the app because I've seen it advertised many times and was absolutely stunned. This app is THE HELP you want for school and above all, it offers so many things, such as workouts and fact sheets, which have been VERY helpful to me personally.
Anna
iOS user
I think it’s very much worth it and you’ll end up using it a lot once you get the hang of it and even after looking at others notes you can still ask your Artificial intelligence buddy the question and ask to simplify it if you still don’t get it!!! In the end I think it’s worth it 😊👍 ⚠️Also DID I MENTION ITS FREEE YOU DON’T HAVE TO PAY FOR ANYTHING AND STILL GET YOUR GRADES IN PERFECTLY❗️❗️⚠️
Thomas R
iOS user
Knowunity is the BEST app I’ve used in a minute. This is not an ai review or anything this is genuinely coming from a 7th grade student (I know 2011 im young) but dude this app is a 10/10 i have maintained a 3.8 gpa and have plenty of time for gaming. I love it and my mom is just happy I got good grades
Brad T
Android user
Not only did it help me find the answer but it also showed me alternative ways to solve it. I was horrible in math and science but now I have an a in both subjects. Thanks for the help🤍🤍
David K
iOS user
The app's just great! All I have to do is enter the topic in the search bar and I get the response real fast. I don't have to watch 10 YouTube videos to understand something, so I'm saving my time. Highly recommended!
Sudenaz Ocak
Android user
In school I was really bad at maths but thanks to the app, I am doing better now. I am so grateful that you made the app.
Greenlight Bonnie
Android user
I found this app a couple years ago and it has only gotten better since then. I really love it because it can help with written questions and photo questions. Also, it can find study guides that other people have made as well as flashcard sets and practice tests. The free version is also amazing for students who might not be able to afford it. Would 100% recommend
Aubrey
iOS user
Best app if you're in Highschool or Junior high. I have been using this app for 2 school years and it's the best, it's good if you don't have anyone to help you with school work.😋🩷🎀
Marco B
iOS user
THE QUIZES AND FLASHCARDS ARE SO USEFUL AND I LOVE Knowunity AI. IT ALSO IS LITREALLY LIKE CHATGPT BUT SMARTER!! HELPED ME WITH MY MASCARA PROBLEMS TOO!! AS WELL AS MY REAL SUBJECTS ! DUHHH 😍😁😲🤑💗✨🎀😮
Elisha
iOS user
This app is phenomenal down to the correct info and the various topics you can study! I greatly recommend it for people who struggle with procrastination and those who need homework help. It has been perfectly accurate for world 1 history as far as I’ve seen! Geometry too!
Paul T
iOS user
The app is very easy to use and well designed. I have found everything I was looking for so far and have been able to learn a lot from the presentations! I will definitely use the app for a class assignment! And of course it also helps a lot as an inspiration.
Stefan S
iOS user
This app is really great. There are so many study notes and help [...]. My problem subject is French, for example, and the app has so many options for help. Thanks to this app, I have improved my French. I would recommend it to anyone.
Samantha Klich
Android user
Wow, I am really amazed. I just tried the app because I've seen it advertised many times and was absolutely stunned. This app is THE HELP you want for school and above all, it offers so many things, such as workouts and fact sheets, which have been VERY helpful to me personally.
Anna
iOS user
I think it’s very much worth it and you’ll end up using it a lot once you get the hang of it and even after looking at others notes you can still ask your Artificial intelligence buddy the question and ask to simplify it if you still don’t get it!!! In the end I think it’s worth it 😊👍 ⚠️Also DID I MENTION ITS FREEE YOU DON’T HAVE TO PAY FOR ANYTHING AND STILL GET YOUR GRADES IN PERFECTLY❗️❗️⚠️
Thomas R
iOS user
Knowunity is the BEST app I’ve used in a minute. This is not an ai review or anything this is genuinely coming from a 7th grade student (I know 2011 im young) but dude this app is a 10/10 i have maintained a 3.8 gpa and have plenty of time for gaming. I love it and my mom is just happy I got good grades
Brad T
Android user
Not only did it help me find the answer but it also showed me alternative ways to solve it. I was horrible in math and science but now I have an a in both subjects. Thanks for the help🤍🤍
David K
iOS user
The app's just great! All I have to do is enter the topic in the search bar and I get the response real fast. I don't have to watch 10 YouTube videos to understand something, so I'm saving my time. Highly recommended!
Sudenaz Ocak
Android user
In school I was really bad at maths but thanks to the app, I am doing better now. I am so grateful that you made the app.
Greenlight Bonnie
Android user
I found this app a couple years ago and it has only gotten better since then. I really love it because it can help with written questions and photo questions. Also, it can find study guides that other people have made as well as flashcard sets and practice tests. The free version is also amazing for students who might not be able to afford it. Would 100% recommend
Aubrey
iOS user
Best app if you're in Highschool or Junior high. I have been using this app for 2 school years and it's the best, it's good if you don't have anyone to help you with school work.😋🩷🎀
Marco B
iOS user
THE QUIZES AND FLASHCARDS ARE SO USEFUL AND I LOVE Knowunity AI. IT ALSO IS LITREALLY LIKE CHATGPT BUT SMARTER!! HELPED ME WITH MY MASCARA PROBLEMS TOO!! AS WELL AS MY REAL SUBJECTS ! DUHHH 😍😁😲🤑💗✨🎀😮
Elisha
iOS user
This app is phenomenal down to the correct info and the various topics you can study! I greatly recommend it for people who struggle with procrastination and those who need homework help. It has been perfectly accurate for world 1 history as far as I’ve seen! Geometry too!
Paul T
iOS user
andi :]
@snuggly_bunbun
The digestive system is a complex network of organs working together to break down food, absorb nutrients, and eliminate waste. It consists of a long tube called the alimentary canal (GI tract) and several accessory organs that help with digestion.... Show more

Access to all documents
Improve your grades
Join milions of students
Your digestive journey begins in your mouth, the entrance to the digestive system. When you take a bite of food, it enters a specially designed space with several important parts: lips that protect the opening, cheeks forming the sides, and both hard and soft palates forming the roof.
The star of the mouth is your tongue, which sits on the floor of your mouth attached by the lingual frenulum (that little piece of tissue under your tongue). Your tongue does more than just help you talk—it mixes food with saliva and helps you swallow. The surface of your tongue contains papillae which house your taste buds, making food enjoyable rather than just fuel.
Other important structures include your tonsils (which can become inflamed and make swallowing difficult) and the uvula (that dangling piece at the back of your throat). If someone is "tongue-tied," it means they have a short lingual frenulum that can affect speech and may need to be surgically corrected.
Did you know? The uvula isn't just a random piece of tissue—it helps prevent food from going up into your nasal cavity when you swallow and plays a role in your gag reflex!

Access to all documents
Improve your grades
Join milions of students
After you swallow, food moves into your pharynx (throat), which has three sections: the nasopharynx (part of your respiratory system), the oropharynx (connected to your mouth), and the laryngopharynx (which leads to your esophagus). The food then travels down your esophagus, a muscular tube connecting your throat to your stomach.
Food doesn't just fall down your esophagus—it's actively pushed along by peristalsis, a wave-like motion created by alternating contractions of two muscle layers. This important process ensures food keeps moving in the right direction.
The digestive tract from the esophagus onward has four main tissue layers that work together. From inside to outside: the mucosa (innermost lining), submucosa (soft connective tissue), muscularis externa (muscle layers that create peristalsis), and serosa (the outer protective layer). These layers are critical for both protection and function.
Watch out! If bacteria enter the peritoneal cavity (the space around your digestive organs), you can develop peritonitis. Your body initially tries to contain the infection by causing the peritoneal membranes to stick together, but medical attention is needed to resolve it.

Access to all documents
Improve your grades
Join milions of students
Your stomach is much more than just a food bag—it's a temporary storage tank with specialized regions. The fundus at the top, the main body in the middle, and the pylorus at the bottom where most digestion happens. Food enters through the cardioesophageal sphincter and exits as chyme (partially digested food) through the pyloric sphincter.
The stomach has two protective structures called omentums. The lesser omentum connects the stomach to the liver, while the greater omentum acts like a protective blanket over your abdominal organs. This greater omentum not only cushions your organs but contains defensive cells from your immune system.
Your stomach digests food in two ways. Mechanically, the strong muscles of the muscularis externa churn and break food into smaller fragments. Chemically, the stomach lining (made of simple columnar epithelium) contains millions of gastric pits with specialized cells. Chief cells produce pepsinogens, parietal cells create hydrochloric acid (making the stomach acidic), and enteroendocrine cells release helpful digestive hormones.
Amazing fact: Your stomach protects itself from being digested by its own powerful acids! The mucosa produces a thick layer of protective mucus that prevents the stomach from essentially digesting itself.

Access to all documents
Improve your grades
Join milions of students
The small intestine is the digestive superstar—it's where most digestion occurs and nutrients are absorbed into your bloodstream. This long tube connects the stomach to the large intestine and has three main sections: the duodenum, jejunum, and ileum.
In the duodenum, digestive juices from the pancreas and liver enter through ducts to help break down food. The pancreas provides enzymes that complete chemical digestion, while the liver supplies bile to process fats. These important fluids enter the duodenum together through joined ducts.
The small intestine has amazing adaptations to maximize absorption. Its walls contain microvilli (tiny projections with digestive enzymes), villi , and circular folds that increase surface area. The walls also contain Peyer's patches—collections of lymphatic tissue that prevent bacteria from entering your bloodstream.
Cool structure alert: If you could unfold all the surface area in your small intestine (including villi and microvilli), it would cover a tennis court! This massive surface area ensures you absorb as many nutrients as possible from your food.

Access to all documents
Improve your grades
Join milions of students
After nutrients are absorbed in the small intestine, what's left moves into the large intestine, which focuses on absorbing water and forming waste (feces). This final section of the digestive tract has several parts working together.
The journey through the large intestine begins at the cecum, a pouch-like structure with the appendix attached (which can become infected, causing appendicitis). Food then travels through the colon, which has four sections: ascending (up), transverse (across), descending (down), and sigmoid . Finally, waste is stored in the rectum before leaving the body through the anus, which has both voluntary and involuntary sphincters.
The large intestine has special features that help with its functions. Goblet cells produce mucus to lubricate feces as it moves through, making elimination easier. The muscle layer of the large intestine typically stays contracted, creating small pouches called haustra that characterize its appearance.
Name origin: The sigmoid colon gets its name from its distinctive S-shape—"sigmoid" comes from the Greek letter sigma (σ), which in its ancient form resembled an S!

Access to all documents
Improve your grades
Join milions of students
Your salivary glands produce saliva that starts the digestive process in your mouth. Saliva contains mucus, serous fluids, salivary amylase (an enzyme that breaks down starch), lysozyme, and antibodies that fight bacteria. This mixture moistens food for easy chewing and swallowing, begins starch digestion, inhibits harmful bacteria, and dissolves food chemicals so you can taste them.
You have three pairs of major salivary glands. The parotid glands sit in your cheeks and can become inflamed with mumps. The submandibular glands and sublingual glands both empty through ducts into the floor of your mouth.
The pancreas has dual roles in digestion. It produces powerful enzymes that break down all types of food particles (proteins, carbohydrates, and fats), which are secreted into the duodenum in a neutralizing fluid. It also produces the hormones insulin and glucagon, which regulate blood sugar levels.
Health note: Mumps, an inflammation of the parotid glands, was once a common childhood disease that made opening the mouth and chewing painful. Thanks to vaccines, mumps is now much less common in developed countries.

Access to all documents
Improve your grades
Join milions of students
Your liver is a digestive powerhouse that produces bile, a greenish fluid that emulsifies fats—breaking them into tiny droplets that are easier for enzymes to process. Bile contains bile salts, bile pigments (bilirubin), cholesterol, phospholipids, and electrolytes. It travels from the liver to the duodenum through the common hepatic duct and bile duct.
Several liver conditions can affect digestion. Jaundice occurs when bile builds up in the bloodstream (turning skin yellow) due to blocked ducts. Hepatitis is inflammation of the liver, often caused by viral infections. Cirrhosis involves severe liver damage, typically from excessive alcohol consumption or advanced hepatitis.
The gallbladder stores and concentrates bile when you're not eating. When fatty foods enter your duodenum, the gallbladder receives signals to release bile through the cystic duct. Sometimes cholesterol in bile can crystallize, forming sharp, painful gallstones. This typically happens when bile stays in the gallbladder too long or becomes too concentrated.
Clarification: Despite common belief, vomit isn't actually bile. What people call "bile" when they throw up is usually stomach acid and partially digested food. True bile is typically only seen in vomit after extended, severe vomiting when the duodenal contents get pushed backward.
Our AI companion is specifically built for the needs of students. Based on the millions of content pieces we have on the platform we can provide truly meaningful and relevant answers to students. But its not only about answers, the companion is even more about guiding students through their daily learning challenges, with personalised study plans, quizzes or content pieces in the chat and 100% personalisation based on the students skills and developments.
You can download the app in the Google Play Store and in the Apple App Store.
That's right! Enjoy free access to study content, connect with fellow students, and get instant help – all at your fingertips.
3
Smart Tools NEW
Transform this note into: ✓ 50+ Practice Questions ✓ Interactive Flashcards ✓ Full Practice Test ✓ Essay Outlines
Joint movement and homeostasis
Sensory/Touch
Has Info on: -Integumentary & Musculoskeletal Systems -Digestive Systems -Respiratory & Circulatory Systems -Urinary System -Reproductive System -Nervous System
intro of human anatomy and physiology, biology anatomy notes
Summary of the major organs and functions of the human body systems, including nervous, digestive, skeletal, circulatory, endocrine, muscular, lymphatic, and reproductive systems.
Includes tissue types with photos and written descriptions for all
App Store
Google Play
The app is very easy to use and well designed. I have found everything I was looking for so far and have been able to learn a lot from the presentations! I will definitely use the app for a class assignment! And of course it also helps a lot as an inspiration.
Stefan S
iOS user
This app is really great. There are so many study notes and help [...]. My problem subject is French, for example, and the app has so many options for help. Thanks to this app, I have improved my French. I would recommend it to anyone.
Samantha Klich
Android user
Wow, I am really amazed. I just tried the app because I've seen it advertised many times and was absolutely stunned. This app is THE HELP you want for school and above all, it offers so many things, such as workouts and fact sheets, which have been VERY helpful to me personally.
Anna
iOS user
I think it’s very much worth it and you’ll end up using it a lot once you get the hang of it and even after looking at others notes you can still ask your Artificial intelligence buddy the question and ask to simplify it if you still don’t get it!!! In the end I think it’s worth it 😊👍 ⚠️Also DID I MENTION ITS FREEE YOU DON’T HAVE TO PAY FOR ANYTHING AND STILL GET YOUR GRADES IN PERFECTLY❗️❗️⚠️
Thomas R
iOS user
Knowunity is the BEST app I’ve used in a minute. This is not an ai review or anything this is genuinely coming from a 7th grade student (I know 2011 im young) but dude this app is a 10/10 i have maintained a 3.8 gpa and have plenty of time for gaming. I love it and my mom is just happy I got good grades
Brad T
Android user
Not only did it help me find the answer but it also showed me alternative ways to solve it. I was horrible in math and science but now I have an a in both subjects. Thanks for the help🤍🤍
David K
iOS user
The app's just great! All I have to do is enter the topic in the search bar and I get the response real fast. I don't have to watch 10 YouTube videos to understand something, so I'm saving my time. Highly recommended!
Sudenaz Ocak
Android user
In school I was really bad at maths but thanks to the app, I am doing better now. I am so grateful that you made the app.
Greenlight Bonnie
Android user
I found this app a couple years ago and it has only gotten better since then. I really love it because it can help with written questions and photo questions. Also, it can find study guides that other people have made as well as flashcard sets and practice tests. The free version is also amazing for students who might not be able to afford it. Would 100% recommend
Aubrey
iOS user
Best app if you're in Highschool or Junior high. I have been using this app for 2 school years and it's the best, it's good if you don't have anyone to help you with school work.😋🩷🎀
Marco B
iOS user
THE QUIZES AND FLASHCARDS ARE SO USEFUL AND I LOVE Knowunity AI. IT ALSO IS LITREALLY LIKE CHATGPT BUT SMARTER!! HELPED ME WITH MY MASCARA PROBLEMS TOO!! AS WELL AS MY REAL SUBJECTS ! DUHHH 😍😁😲🤑💗✨🎀😮
Elisha
iOS user
This app is phenomenal down to the correct info and the various topics you can study! I greatly recommend it for people who struggle with procrastination and those who need homework help. It has been perfectly accurate for world 1 history as far as I’ve seen! Geometry too!
Paul T
iOS user
The app is very easy to use and well designed. I have found everything I was looking for so far and have been able to learn a lot from the presentations! I will definitely use the app for a class assignment! And of course it also helps a lot as an inspiration.
Stefan S
iOS user
This app is really great. There are so many study notes and help [...]. My problem subject is French, for example, and the app has so many options for help. Thanks to this app, I have improved my French. I would recommend it to anyone.
Samantha Klich
Android user
Wow, I am really amazed. I just tried the app because I've seen it advertised many times and was absolutely stunned. This app is THE HELP you want for school and above all, it offers so many things, such as workouts and fact sheets, which have been VERY helpful to me personally.
Anna
iOS user
I think it’s very much worth it and you’ll end up using it a lot once you get the hang of it and even after looking at others notes you can still ask your Artificial intelligence buddy the question and ask to simplify it if you still don’t get it!!! In the end I think it’s worth it 😊👍 ⚠️Also DID I MENTION ITS FREEE YOU DON’T HAVE TO PAY FOR ANYTHING AND STILL GET YOUR GRADES IN PERFECTLY❗️❗️⚠️
Thomas R
iOS user
Knowunity is the BEST app I’ve used in a minute. This is not an ai review or anything this is genuinely coming from a 7th grade student (I know 2011 im young) but dude this app is a 10/10 i have maintained a 3.8 gpa and have plenty of time for gaming. I love it and my mom is just happy I got good grades
Brad T
Android user
Not only did it help me find the answer but it also showed me alternative ways to solve it. I was horrible in math and science but now I have an a in both subjects. Thanks for the help🤍🤍
David K
iOS user
The app's just great! All I have to do is enter the topic in the search bar and I get the response real fast. I don't have to watch 10 YouTube videos to understand something, so I'm saving my time. Highly recommended!
Sudenaz Ocak
Android user
In school I was really bad at maths but thanks to the app, I am doing better now. I am so grateful that you made the app.
Greenlight Bonnie
Android user
I found this app a couple years ago and it has only gotten better since then. I really love it because it can help with written questions and photo questions. Also, it can find study guides that other people have made as well as flashcard sets and practice tests. The free version is also amazing for students who might not be able to afford it. Would 100% recommend
Aubrey
iOS user
Best app if you're in Highschool or Junior high. I have been using this app for 2 school years and it's the best, it's good if you don't have anyone to help you with school work.😋🩷🎀
Marco B
iOS user
THE QUIZES AND FLASHCARDS ARE SO USEFUL AND I LOVE Knowunity AI. IT ALSO IS LITREALLY LIKE CHATGPT BUT SMARTER!! HELPED ME WITH MY MASCARA PROBLEMS TOO!! AS WELL AS MY REAL SUBJECTS ! DUHHH 😍😁😲🤑💗✨🎀😮
Elisha
iOS user
This app is phenomenal down to the correct info and the various topics you can study! I greatly recommend it for people who struggle with procrastination and those who need homework help. It has been perfectly accurate for world 1 history as far as I’ve seen! Geometry too!
Paul T
iOS user