Understanding how to write effectively means mastering sentence structure, persuasive... Show more
Sign up to see the contentIt's free!
Access to all documents
Improve your grades
Join milions of students
Knowunity AI
Subjects
Triangle Congruence and Similarity Theorems
Triangle Properties and Classification
Linear Equations and Graphs
Geometric Angle Relationships
Trigonometric Functions and Identities
Equation Solving Techniques
Circle Geometry Fundamentals
Division Operations and Methods
Basic Differentiation Rules
Exponent and Logarithm Properties
Show all topics
Human Organ Systems
Reproductive Cell Cycles
Biological Sciences Subdisciplines
Cellular Energy Metabolism
Autotrophic Energy Processes
Inheritance Patterns and Principles
Biomolecular Structure and Organization
Cell Cycle and Division Mechanics
Cellular Organization and Development
Biological Structural Organization
Show all topics
Chemical Sciences and Applications
Atomic Structure and Composition
Molecular Electron Structure Representation
Atomic Electron Behavior
Matter Properties and Water
Mole Concept and Calculations
Gas Laws and Behavior
Periodic Table Organization
Chemical Thermodynamics Fundamentals
Chemical Bond Types and Properties
Show all topics
European Renaissance and Enlightenment
European Cultural Movements 800-1920
American Revolution Era 1763-1797
American Civil War 1861-1865
Global Imperial Systems
Mongol and Chinese Dynasties
U.S. Presidents and World Leaders
Historical Sources and Documentation
World Wars Era and Impact
World Religious Systems
Show all topics
Classic and Contemporary Novels
Literary Character Analysis
Rhetorical Theory and Practice
Classic Literary Narratives
Reading Analysis and Interpretation
Narrative Structure and Techniques
English Language Components
Influential English-Language Authors
Basic Sentence Structure
Narrative Voice and Perspective
Show all topics
81
•
Updated Apr 4, 2026
•
Understanding how to write effectively means mastering sentence structure, persuasive... Show more




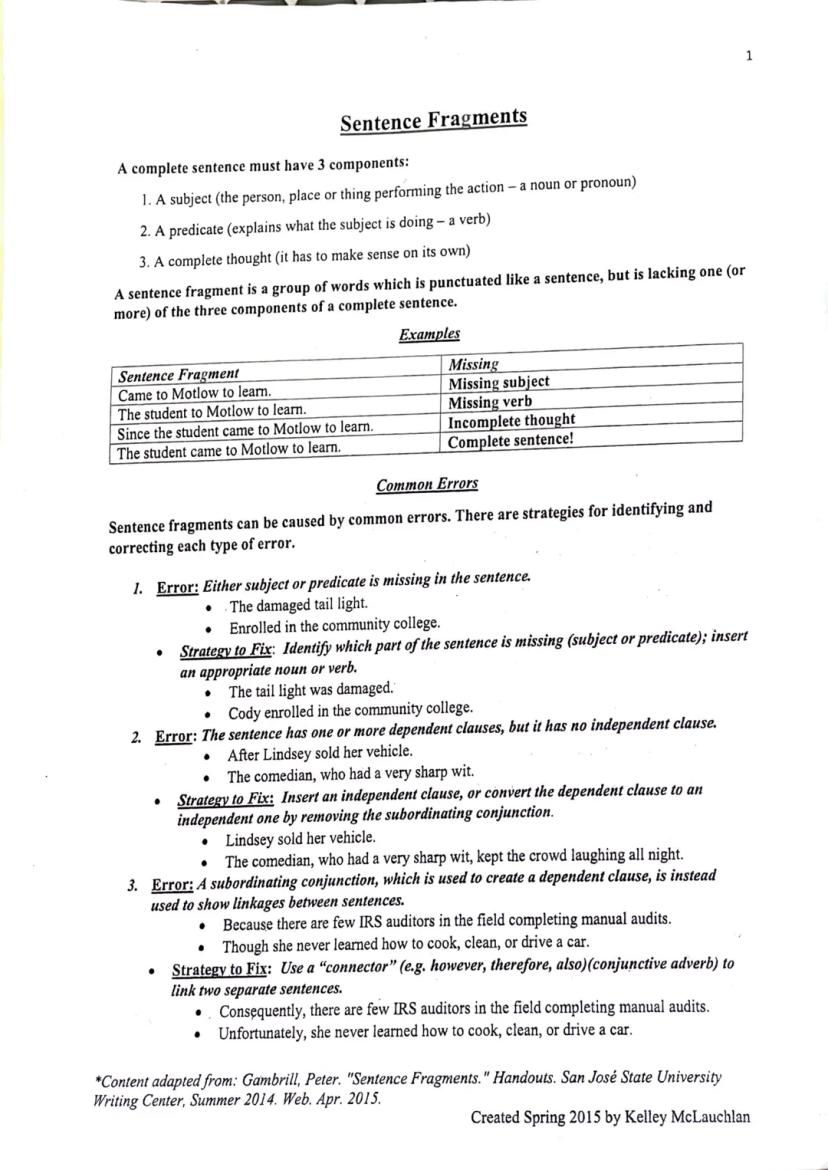
Ever wonder why some groups of words just don't sound right as sentences? A complete sentence needs three essential components: a subject (who or what), a predicate (what they're doing), and a complete thought that makes sense on its own.
Sentence fragments occur when one or more of these components is missing. For instance, "Came to Motlow to learn" lacks a subject, while "The student to Motlow to learn" is missing a verb. Even "Since the student came to Motlow to learn" isn't complete because it leaves us hanging.
You can fix fragments in several ways. If a subject or predicate is missing, simply add the appropriate noun or verb (turning "The damaged tail light" into "The tail light was damaged"). For dependent clauses without independent clauses, either add an independent clause or remove the subordinating conjunction. When a subordinating conjunction incorrectly links sentences, replace it with a connector like "however" or "therefore."
Quick Fix Tip: When proofreading, check each sentence by asking: Who or what is doing something? What are they doing? Does the thought feel complete on its own? If any answer is no, you've found a fragment!

Imagine you're trying to convince your parents to increase your allowance. Would you use facts and figures, emotional appeals, or your track record of responsibility? These approaches represent the three main rhetorical strategies that speakers and writers use to persuade their audience.
Logos appeals to logic and rational thinking. When you use logos, you're bringing in facts, statistics, cause-and-effect relationships, and logical reasoning. Think population graphs, scientific evidence, or step-by-step explanations that make your argument impossible to deny based on pure reasoning.
Pathos targets your audience's emotions. This strategy uses personal stories, vivid imagery, and powerful language to create an emotional connection. Those commercials showing sad puppies in shelters? Pure pathos at work, designed to make you feel something that drives you to action.
Ethos establishes credibility and trustworthiness. When using ethos, you demonstrate why people should believe you through qualifications, character, appropriate language, and citing credible sources. Phrases like "As a certified nutritionist..." or "According to Harvard researchers..." build ethos.
Power Tip: The most effective persuasive writing uses a strategic combination of logos, pathos, and ethos rather than relying on just one approach. Match your strategy to your audience!

Want to strengthen your arguments and analyze others' thinking more effectively? These critical thinking questions will help you dig deeper into any subject and avoid surface-level understanding.
Start by checking for clarity and precision by asking for examples, illustrations, or more specific details. This ensures you're not dealing with vague ideas. Then examine accuracy by questioning how claims could be verified or tested against reliable evidence.
Assess relevance by determining how ideas connect to the main issue, and explore depth by identifying complexities and difficulties within the problem. Don't forget to consider breadth by looking at multiple perspectives and alternative viewpoints.
The strongest thinking also demonstrates logic (do all parts make sense together?), focuses on significance (prioritizing what matters most), and shows fairness by accounting for potential bias and considering others' viewpoints.
Think Like a Pro: The next time you write an essay or analyze an argument, run through these critical thinking questions. They'll help you spot weaknesses in reasoning and develop more nuanced positions on complex topics.
Our AI companion is specifically built for the needs of students. Based on the millions of content pieces we have on the platform we can provide truly meaningful and relevant answers to students. But its not only about answers, the companion is even more about guiding students through their daily learning challenges, with personalised study plans, quizzes or content pieces in the chat and 100% personalisation based on the students skills and developments.
You can download the app in the Google Play Store and in the Apple App Store.
That's right! Enjoy free access to study content, connect with fellow students, and get instant help – all at your fingertips.
App Store
Google Play
The app is very easy to use and well designed. I have found everything I was looking for so far and have been able to learn a lot from the presentations! I will definitely use the app for a class assignment! And of course it also helps a lot as an inspiration.
Stefan S
iOS user
This app is really great. There are so many study notes and help [...]. My problem subject is French, for example, and the app has so many options for help. Thanks to this app, I have improved my French. I would recommend it to anyone.
Samantha Klich
Android user
Wow, I am really amazed. I just tried the app because I've seen it advertised many times and was absolutely stunned. This app is THE HELP you want for school and above all, it offers so many things, such as workouts and fact sheets, which have been VERY helpful to me personally.
Anna
iOS user
I think it’s very much worth it and you’ll end up using it a lot once you get the hang of it and even after looking at others notes you can still ask your Artificial intelligence buddy the question and ask to simplify it if you still don’t get it!!! In the end I think it’s worth it 😊👍 ⚠️Also DID I MENTION ITS FREEE YOU DON’T HAVE TO PAY FOR ANYTHING AND STILL GET YOUR GRADES IN PERFECTLY❗️❗️⚠️
Thomas R
iOS user
Knowunity is the BEST app I’ve used in a minute. This is not an ai review or anything this is genuinely coming from a 7th grade student (I know 2011 im young) but dude this app is a 10/10 i have maintained a 3.8 gpa and have plenty of time for gaming. I love it and my mom is just happy I got good grades
Brad T
Android user
Not only did it help me find the answer but it also showed me alternative ways to solve it. I was horrible in math and science but now I have an a in both subjects. Thanks for the help🤍🤍
David K
iOS user
The app's just great! All I have to do is enter the topic in the search bar and I get the response real fast. I don't have to watch 10 YouTube videos to understand something, so I'm saving my time. Highly recommended!
Sudenaz Ocak
Android user
In school I was really bad at maths but thanks to the app, I am doing better now. I am so grateful that you made the app.
Greenlight Bonnie
Android user
I found this app a couple years ago and it has only gotten better since then. I really love it because it can help with written questions and photo questions. Also, it can find study guides that other people have made as well as flashcard sets and practice tests. The free version is also amazing for students who might not be able to afford it. Would 100% recommend
Aubrey
iOS user
Best app if you're in Highschool or Junior high. I have been using this app for 2 school years and it's the best, it's good if you don't have anyone to help you with school work.😋🩷🎀
Marco B
iOS user
THE QUIZES AND FLASHCARDS ARE SO USEFUL AND I LOVE Knowunity AI. IT ALSO IS LITREALLY LIKE CHATGPT BUT SMARTER!! HELPED ME WITH MY MASCARA PROBLEMS TOO!! AS WELL AS MY REAL SUBJECTS ! DUHHH 😍😁😲🤑💗✨🎀😮
Elisha
iOS user
This app is phenomenal down to the correct info and the various topics you can study! I greatly recommend it for people who struggle with procrastination and those who need homework help. It has been perfectly accurate for world 1 history as far as I’ve seen! Geometry too!
Paul T
iOS user
The app is very easy to use and well designed. I have found everything I was looking for so far and have been able to learn a lot from the presentations! I will definitely use the app for a class assignment! And of course it also helps a lot as an inspiration.
Stefan S
iOS user
This app is really great. There are so many study notes and help [...]. My problem subject is French, for example, and the app has so many options for help. Thanks to this app, I have improved my French. I would recommend it to anyone.
Samantha Klich
Android user
Wow, I am really amazed. I just tried the app because I've seen it advertised many times and was absolutely stunned. This app is THE HELP you want for school and above all, it offers so many things, such as workouts and fact sheets, which have been VERY helpful to me personally.
Anna
iOS user
I think it’s very much worth it and you’ll end up using it a lot once you get the hang of it and even after looking at others notes you can still ask your Artificial intelligence buddy the question and ask to simplify it if you still don’t get it!!! In the end I think it’s worth it 😊👍 ⚠️Also DID I MENTION ITS FREEE YOU DON’T HAVE TO PAY FOR ANYTHING AND STILL GET YOUR GRADES IN PERFECTLY❗️❗️⚠️
Thomas R
iOS user
Knowunity is the BEST app I’ve used in a minute. This is not an ai review or anything this is genuinely coming from a 7th grade student (I know 2011 im young) but dude this app is a 10/10 i have maintained a 3.8 gpa and have plenty of time for gaming. I love it and my mom is just happy I got good grades
Brad T
Android user
Not only did it help me find the answer but it also showed me alternative ways to solve it. I was horrible in math and science but now I have an a in both subjects. Thanks for the help🤍🤍
David K
iOS user
The app's just great! All I have to do is enter the topic in the search bar and I get the response real fast. I don't have to watch 10 YouTube videos to understand something, so I'm saving my time. Highly recommended!
Sudenaz Ocak
Android user
In school I was really bad at maths but thanks to the app, I am doing better now. I am so grateful that you made the app.
Greenlight Bonnie
Android user
I found this app a couple years ago and it has only gotten better since then. I really love it because it can help with written questions and photo questions. Also, it can find study guides that other people have made as well as flashcard sets and practice tests. The free version is also amazing for students who might not be able to afford it. Would 100% recommend
Aubrey
iOS user
Best app if you're in Highschool or Junior high. I have been using this app for 2 school years and it's the best, it's good if you don't have anyone to help you with school work.😋🩷🎀
Marco B
iOS user
THE QUIZES AND FLASHCARDS ARE SO USEFUL AND I LOVE Knowunity AI. IT ALSO IS LITREALLY LIKE CHATGPT BUT SMARTER!! HELPED ME WITH MY MASCARA PROBLEMS TOO!! AS WELL AS MY REAL SUBJECTS ! DUHHH 😍😁😲🤑💗✨🎀😮
Elisha
iOS user
This app is phenomenal down to the correct info and the various topics you can study! I greatly recommend it for people who struggle with procrastination and those who need homework help. It has been perfectly accurate for world 1 history as far as I’ve seen! Geometry too!
Paul T
iOS user
Understanding how to write effectively means mastering sentence structure, persuasive techniques, and critical thinking skills. These fundamental elements help you communicate clearly, influence your audience, and develop well-reasoned arguments.

Access to all documents
Improve your grades
Join milions of students
Ever wonder why some groups of words just don't sound right as sentences? A complete sentence needs three essential components: a subject (who or what), a predicate (what they're doing), and a complete thought that makes sense on its own.
Sentence fragments occur when one or more of these components is missing. For instance, "Came to Motlow to learn" lacks a subject, while "The student to Motlow to learn" is missing a verb. Even "Since the student came to Motlow to learn" isn't complete because it leaves us hanging.
You can fix fragments in several ways. If a subject or predicate is missing, simply add the appropriate noun or verb (turning "The damaged tail light" into "The tail light was damaged"). For dependent clauses without independent clauses, either add an independent clause or remove the subordinating conjunction. When a subordinating conjunction incorrectly links sentences, replace it with a connector like "however" or "therefore."
Quick Fix Tip: When proofreading, check each sentence by asking: Who or what is doing something? What are they doing? Does the thought feel complete on its own? If any answer is no, you've found a fragment!

Access to all documents
Improve your grades
Join milions of students
Imagine you're trying to convince your parents to increase your allowance. Would you use facts and figures, emotional appeals, or your track record of responsibility? These approaches represent the three main rhetorical strategies that speakers and writers use to persuade their audience.
Logos appeals to logic and rational thinking. When you use logos, you're bringing in facts, statistics, cause-and-effect relationships, and logical reasoning. Think population graphs, scientific evidence, or step-by-step explanations that make your argument impossible to deny based on pure reasoning.
Pathos targets your audience's emotions. This strategy uses personal stories, vivid imagery, and powerful language to create an emotional connection. Those commercials showing sad puppies in shelters? Pure pathos at work, designed to make you feel something that drives you to action.
Ethos establishes credibility and trustworthiness. When using ethos, you demonstrate why people should believe you through qualifications, character, appropriate language, and citing credible sources. Phrases like "As a certified nutritionist..." or "According to Harvard researchers..." build ethos.
Power Tip: The most effective persuasive writing uses a strategic combination of logos, pathos, and ethos rather than relying on just one approach. Match your strategy to your audience!

Access to all documents
Improve your grades
Join milions of students
Want to strengthen your arguments and analyze others' thinking more effectively? These critical thinking questions will help you dig deeper into any subject and avoid surface-level understanding.
Start by checking for clarity and precision by asking for examples, illustrations, or more specific details. This ensures you're not dealing with vague ideas. Then examine accuracy by questioning how claims could be verified or tested against reliable evidence.
Assess relevance by determining how ideas connect to the main issue, and explore depth by identifying complexities and difficulties within the problem. Don't forget to consider breadth by looking at multiple perspectives and alternative viewpoints.
The strongest thinking also demonstrates logic (do all parts make sense together?), focuses on significance (prioritizing what matters most), and shows fairness by accounting for potential bias and considering others' viewpoints.
Think Like a Pro: The next time you write an essay or analyze an argument, run through these critical thinking questions. They'll help you spot weaknesses in reasoning and develop more nuanced positions on complex topics.
Our AI companion is specifically built for the needs of students. Based on the millions of content pieces we have on the platform we can provide truly meaningful and relevant answers to students. But its not only about answers, the companion is even more about guiding students through their daily learning challenges, with personalised study plans, quizzes or content pieces in the chat and 100% personalisation based on the students skills and developments.
You can download the app in the Google Play Store and in the Apple App Store.
That's right! Enjoy free access to study content, connect with fellow students, and get instant help – all at your fingertips.
3
Smart Tools NEW
Transform this note into: ✓ 50+ Practice Questions ✓ Interactive Flashcards ✓ Full Practice Test ✓ Essay Outlines
Explore detailed annotations of key scenes in Shakespeare's 'Macbeth', focusing on themes such as ambition, guilt, and the supernatural. This resource provides insights into character motivations and dramatic techniques, enhancing your understanding of the play's complex dynamics. Ideal for students studying Shakespeare's work.
Explore Shakespeare's portrayal of the witches in Act 1 Scene 1 of Macbeth. This analysis delves into their supernatural characteristics, omniscience, and the significance of their synchronized speech. Understand how these elements foreshadow the play's themes of fate and malevolence. Ideal for students studying Shakespeare's works and seeking deeper insights into character analysis.
Dive into a comprehensive analysis of Act 1 of Shakespeare's Macbeth. Explore key themes such as ambition, deception, and the supernatural, alongside character dynamics between Macbeth and Lady Macbeth. This detailed examination highlights pivotal moments, motifs, and quotes that shape the narrative. Ideal for students seeking a deeper understanding of the play's foundational elements.
Explore a comprehensive analysis of Act 2 from Shakespeare's 'Macbeth', covering key themes such as guilt, betrayal, and the supernatural. This resource includes detailed examinations of character motivations, social and historical contexts, and significant quotations. Ideal for students seeking to deepen their understanding of the play's moral complexities and dramatic elements.
Explore the complexities of ambition in Macbeth's first soliloquy from Act 1, Scene 7. This analysis delves into the themes of ambition, manipulation, and the struggle between morality and desire. Discover how Lady Macbeth influences Macbeth's decisions and the implications of their relationship. Ideal for students studying Shakespeare's character dynamics and thematic elements.
Explore detailed annotations and key themes from Act 3 of Shakespeare's Macbeth, including motifs of kingship, ambition, betrayal, and the supernatural. This analysis highlights the psychological turmoil of Macbeth and Lady Macbeth, their guilt, and the implications of their actions. Ideal for students seeking a deeper understanding of the play's complexities.
App Store
Google Play
The app is very easy to use and well designed. I have found everything I was looking for so far and have been able to learn a lot from the presentations! I will definitely use the app for a class assignment! And of course it also helps a lot as an inspiration.
Stefan S
iOS user
This app is really great. There are so many study notes and help [...]. My problem subject is French, for example, and the app has so many options for help. Thanks to this app, I have improved my French. I would recommend it to anyone.
Samantha Klich
Android user
Wow, I am really amazed. I just tried the app because I've seen it advertised many times and was absolutely stunned. This app is THE HELP you want for school and above all, it offers so many things, such as workouts and fact sheets, which have been VERY helpful to me personally.
Anna
iOS user
I think it’s very much worth it and you’ll end up using it a lot once you get the hang of it and even after looking at others notes you can still ask your Artificial intelligence buddy the question and ask to simplify it if you still don’t get it!!! In the end I think it’s worth it 😊👍 ⚠️Also DID I MENTION ITS FREEE YOU DON’T HAVE TO PAY FOR ANYTHING AND STILL GET YOUR GRADES IN PERFECTLY❗️❗️⚠️
Thomas R
iOS user
Knowunity is the BEST app I’ve used in a minute. This is not an ai review or anything this is genuinely coming from a 7th grade student (I know 2011 im young) but dude this app is a 10/10 i have maintained a 3.8 gpa and have plenty of time for gaming. I love it and my mom is just happy I got good grades
Brad T
Android user
Not only did it help me find the answer but it also showed me alternative ways to solve it. I was horrible in math and science but now I have an a in both subjects. Thanks for the help🤍🤍
David K
iOS user
The app's just great! All I have to do is enter the topic in the search bar and I get the response real fast. I don't have to watch 10 YouTube videos to understand something, so I'm saving my time. Highly recommended!
Sudenaz Ocak
Android user
In school I was really bad at maths but thanks to the app, I am doing better now. I am so grateful that you made the app.
Greenlight Bonnie
Android user
I found this app a couple years ago and it has only gotten better since then. I really love it because it can help with written questions and photo questions. Also, it can find study guides that other people have made as well as flashcard sets and practice tests. The free version is also amazing for students who might not be able to afford it. Would 100% recommend
Aubrey
iOS user
Best app if you're in Highschool or Junior high. I have been using this app for 2 school years and it's the best, it's good if you don't have anyone to help you with school work.😋🩷🎀
Marco B
iOS user
THE QUIZES AND FLASHCARDS ARE SO USEFUL AND I LOVE Knowunity AI. IT ALSO IS LITREALLY LIKE CHATGPT BUT SMARTER!! HELPED ME WITH MY MASCARA PROBLEMS TOO!! AS WELL AS MY REAL SUBJECTS ! DUHHH 😍😁😲🤑💗✨🎀😮
Elisha
iOS user
This app is phenomenal down to the correct info and the various topics you can study! I greatly recommend it for people who struggle with procrastination and those who need homework help. It has been perfectly accurate for world 1 history as far as I’ve seen! Geometry too!
Paul T
iOS user
The app is very easy to use and well designed. I have found everything I was looking for so far and have been able to learn a lot from the presentations! I will definitely use the app for a class assignment! And of course it also helps a lot as an inspiration.
Stefan S
iOS user
This app is really great. There are so many study notes and help [...]. My problem subject is French, for example, and the app has so many options for help. Thanks to this app, I have improved my French. I would recommend it to anyone.
Samantha Klich
Android user
Wow, I am really amazed. I just tried the app because I've seen it advertised many times and was absolutely stunned. This app is THE HELP you want for school and above all, it offers so many things, such as workouts and fact sheets, which have been VERY helpful to me personally.
Anna
iOS user
I think it’s very much worth it and you’ll end up using it a lot once you get the hang of it and even after looking at others notes you can still ask your Artificial intelligence buddy the question and ask to simplify it if you still don’t get it!!! In the end I think it’s worth it 😊👍 ⚠️Also DID I MENTION ITS FREEE YOU DON’T HAVE TO PAY FOR ANYTHING AND STILL GET YOUR GRADES IN PERFECTLY❗️❗️⚠️
Thomas R
iOS user
Knowunity is the BEST app I’ve used in a minute. This is not an ai review or anything this is genuinely coming from a 7th grade student (I know 2011 im young) but dude this app is a 10/10 i have maintained a 3.8 gpa and have plenty of time for gaming. I love it and my mom is just happy I got good grades
Brad T
Android user
Not only did it help me find the answer but it also showed me alternative ways to solve it. I was horrible in math and science but now I have an a in both subjects. Thanks for the help🤍🤍
David K
iOS user
The app's just great! All I have to do is enter the topic in the search bar and I get the response real fast. I don't have to watch 10 YouTube videos to understand something, so I'm saving my time. Highly recommended!
Sudenaz Ocak
Android user
In school I was really bad at maths but thanks to the app, I am doing better now. I am so grateful that you made the app.
Greenlight Bonnie
Android user
I found this app a couple years ago and it has only gotten better since then. I really love it because it can help with written questions and photo questions. Also, it can find study guides that other people have made as well as flashcard sets and practice tests. The free version is also amazing for students who might not be able to afford it. Would 100% recommend
Aubrey
iOS user
Best app if you're in Highschool or Junior high. I have been using this app for 2 school years and it's the best, it's good if you don't have anyone to help you with school work.😋🩷🎀
Marco B
iOS user
THE QUIZES AND FLASHCARDS ARE SO USEFUL AND I LOVE Knowunity AI. IT ALSO IS LITREALLY LIKE CHATGPT BUT SMARTER!! HELPED ME WITH MY MASCARA PROBLEMS TOO!! AS WELL AS MY REAL SUBJECTS ! DUHHH 😍😁😲🤑💗✨🎀😮
Elisha
iOS user
This app is phenomenal down to the correct info and the various topics you can study! I greatly recommend it for people who struggle with procrastination and those who need homework help. It has been perfectly accurate for world 1 history as far as I’ve seen! Geometry too!
Paul T
iOS user