Ready to master calculus integrals? This review covers essential integration... Show more
Sign up to see the contentIt's free!
Access to all documents
Improve your grades
Join milions of students
Knowunity AI
Subjects
Triangle Congruence and Similarity Theorems
Triangle Properties and Classification
Linear Equations and Graphs
Geometric Angle Relationships
Trigonometric Functions and Identities
Equation Solving Techniques
Circle Geometry Fundamentals
Division Operations and Methods
Basic Differentiation Rules
Exponent and Logarithm Properties
Show all topics
Human Organ Systems
Reproductive Cell Cycles
Biological Sciences Subdisciplines
Cellular Energy Metabolism
Autotrophic Energy Processes
Inheritance Patterns and Principles
Biomolecular Structure and Organization
Cell Cycle and Division Mechanics
Cellular Organization and Development
Biological Structural Organization
Show all topics
Chemical Sciences and Applications
Atomic Structure and Composition
Molecular Electron Structure Representation
Atomic Electron Behavior
Matter Properties and Water
Mole Concept and Calculations
Gas Laws and Behavior
Periodic Table Organization
Chemical Thermodynamics Fundamentals
Chemical Bond Types and Properties
Show all topics
European Renaissance and Enlightenment
European Cultural Movements 800-1920
American Revolution Era 1763-1797
American Civil War 1861-1865
Global Imperial Systems
Mongol and Chinese Dynasties
U.S. Presidents and World Leaders
Historical Sources and Documentation
World Wars Era and Impact
World Religious Systems
Show all topics
Classic and Contemporary Novels
Literary Character Analysis
Rhetorical Theory and Practice
Classic Literary Narratives
Reading Analysis and Interpretation
Narrative Structure and Techniques
English Language Components
Influential English-Language Authors
Basic Sentence Structure
Narrative Voice and Perspective
Show all topics
37
•
Updated Feb 15, 2026
•
Ready to master calculus integrals? This review covers essential integration... Show more





Integration is all about finding antiderivatives, and there are several key techniques you need to master. When integrating expressions like , remember to rewrite them using negative exponents $x^{-2}$, which gives you as your answer.
For trigonometric functions like , the substitution method is your best friend. Make a substitution like which means $du = 2dx$, and you'll transform the integral into a simpler form that's easier to solve.
When dealing with piecewise functions in area problems, break down the integral into separate regions. For example, finding involves calculating the accumulated area from the starting point to various x-values.
Pro Tip: When using substitution, always remember to adjust your dx term! If , then . This small detail is often where calculation errors happen.
More complex rational expressions like also yield to substitution. By setting , you can convert it to .

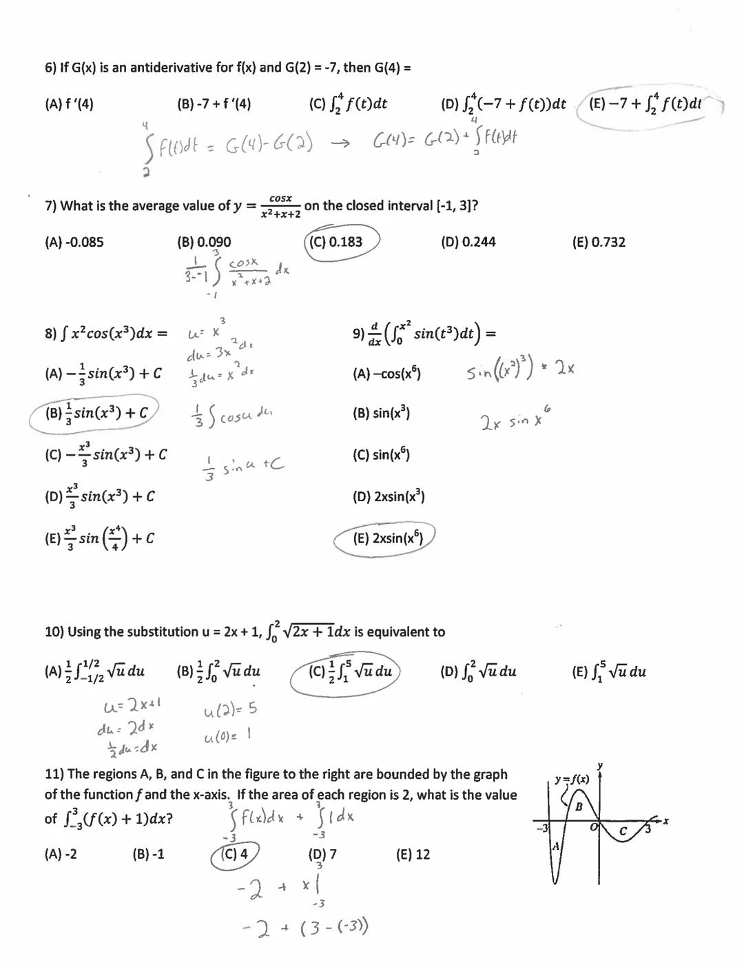
The Fundamental Theorem of Calculus (FTC) connects derivatives and integrals in a powerful way. If G(x) is an antiderivative of f(x), then . This means you can find unknown values of antiderivatives using definite integrals!
When working with average values, remember the formula: . This represents the average value of a function over an interval, like finding the average value of on .
For integrals containing composite functions, like , substitution works wonders. By setting and finding , you can simplify the integral to .
Watch Out: When working with definite integrals and substitution, you can either change the bounds of integration to match your new variable or substitute back before evaluating the limits.
Definite integrals can also have variable upper limits, as in . These require careful application of the FTC and sometimes the chain rule when finding derivatives.

Understanding the geometric meaning of integrals helps with problem-solving. Trapezoidal sums and Riemann sums provide different approximations of the true area under a curve. The shape of the function determines whether these approximations over- or under-estimate the actual value.
Real-world problems often involve rates of change. In a snow accumulation problem, for example, when snow falls at rate f(t) and is removed at rate g(t), the net rate of change is f(t) - g(t). The total snow at any time can be found using definite integrals.
To find the amount of accumulated quantity (like snow), integrate the rate function. For instance, gives the total snow accumulated from t=0 to t=6. When working with removal rates, create a piecewise function to represent the total removal over time.
Make It Click: Think of integration as "adding up tiny bits." When a snowplow removes snow at 125 cubic feet per hour for 1 hour, that's 125 cubic feet total. The integral just handles varying rates!
The net quantity at any time equals the total accumulation minus the total removal. For our snow example, this would be cubic feet at t=9.

Circular cross-sections are common in many real-world applications. For a blood vessel with varying diameter B(x), the average radius is found using , which you can approximate using numerical methods like the midpoint Riemann sum.
Understanding the physical meaning of integrals is crucial. For example, represents the volume of the blood vessel between positions x=125 and x=175, measured in cubic millimeters. This is because the cross-sectional area at any point is or .
In particle motion problems, velocity v(t) is the derivative of position x(t), so position is the antiderivative of velocity: . When given information like "the particle has position x=5 when t=2," you can determine the constant of integration C and find the complete position function.
Connect the Concepts: Remember that velocity is the derivative of position, and position is the antiderivative of velocity. This relationship is at the heart of the Fundamental Theorem of Calculus!
To solve completely, find the antiderivative, determine the constant of integration using the given information, and then use the resulting function to calculate positions at specific times.
Our AI companion is specifically built for the needs of students. Based on the millions of content pieces we have on the platform we can provide truly meaningful and relevant answers to students. But its not only about answers, the companion is even more about guiding students through their daily learning challenges, with personalised study plans, quizzes or content pieces in the chat and 100% personalisation based on the students skills and developments.
You can download the app in the Google Play Store and in the Apple App Store.
That's right! Enjoy free access to study content, connect with fellow students, and get instant help – all at your fingertips.
App Store
Google Play
The app is very easy to use and well designed. I have found everything I was looking for so far and have been able to learn a lot from the presentations! I will definitely use the app for a class assignment! And of course it also helps a lot as an inspiration.
Stefan S
iOS user
This app is really great. There are so many study notes and help [...]. My problem subject is French, for example, and the app has so many options for help. Thanks to this app, I have improved my French. I would recommend it to anyone.
Samantha Klich
Android user
Wow, I am really amazed. I just tried the app because I've seen it advertised many times and was absolutely stunned. This app is THE HELP you want for school and above all, it offers so many things, such as workouts and fact sheets, which have been VERY helpful to me personally.
Anna
iOS user
I think it’s very much worth it and you’ll end up using it a lot once you get the hang of it and even after looking at others notes you can still ask your Artificial intelligence buddy the question and ask to simplify it if you still don’t get it!!! In the end I think it’s worth it 😊👍 ⚠️Also DID I MENTION ITS FREEE YOU DON’T HAVE TO PAY FOR ANYTHING AND STILL GET YOUR GRADES IN PERFECTLY❗️❗️⚠️
Thomas R
iOS user
Knowunity is the BEST app I’ve used in a minute. This is not an ai review or anything this is genuinely coming from a 7th grade student (I know 2011 im young) but dude this app is a 10/10 i have maintained a 3.8 gpa and have plenty of time for gaming. I love it and my mom is just happy I got good grades
Brad T
Android user
Not only did it help me find the answer but it also showed me alternative ways to solve it. I was horrible in math and science but now I have an a in both subjects. Thanks for the help🤍🤍
David K
iOS user
The app's just great! All I have to do is enter the topic in the search bar and I get the response real fast. I don't have to watch 10 YouTube videos to understand something, so I'm saving my time. Highly recommended!
Sudenaz Ocak
Android user
In school I was really bad at maths but thanks to the app, I am doing better now. I am so grateful that you made the app.
Greenlight Bonnie
Android user
I found this app a couple years ago and it has only gotten better since then. I really love it because it can help with written questions and photo questions. Also, it can find study guides that other people have made as well as flashcard sets and practice tests. The free version is also amazing for students who might not be able to afford it. Would 100% recommend
Aubrey
iOS user
Best app if you're in Highschool or Junior high. I have been using this app for 2 school years and it's the best, it's good if you don't have anyone to help you with school work.😋🩷🎀
Marco B
iOS user
THE QUIZES AND FLASHCARDS ARE SO USEFUL AND I LOVE Knowunity AI. IT ALSO IS LITREALLY LIKE CHATGPT BUT SMARTER!! HELPED ME WITH MY MASCARA PROBLEMS TOO!! AS WELL AS MY REAL SUBJECTS ! DUHHH 😍😁😲🤑💗✨🎀😮
Elisha
iOS user
This app is phenomenal down to the correct info and the various topics you can study! I greatly recommend it for people who struggle with procrastination and those who need homework help. It has been perfectly accurate for world 1 history as far as I’ve seen! Geometry too!
Paul T
iOS user
The app is very easy to use and well designed. I have found everything I was looking for so far and have been able to learn a lot from the presentations! I will definitely use the app for a class assignment! And of course it also helps a lot as an inspiration.
Stefan S
iOS user
This app is really great. There are so many study notes and help [...]. My problem subject is French, for example, and the app has so many options for help. Thanks to this app, I have improved my French. I would recommend it to anyone.
Samantha Klich
Android user
Wow, I am really amazed. I just tried the app because I've seen it advertised many times and was absolutely stunned. This app is THE HELP you want for school and above all, it offers so many things, such as workouts and fact sheets, which have been VERY helpful to me personally.
Anna
iOS user
I think it’s very much worth it and you’ll end up using it a lot once you get the hang of it and even after looking at others notes you can still ask your Artificial intelligence buddy the question and ask to simplify it if you still don’t get it!!! In the end I think it’s worth it 😊👍 ⚠️Also DID I MENTION ITS FREEE YOU DON’T HAVE TO PAY FOR ANYTHING AND STILL GET YOUR GRADES IN PERFECTLY❗️❗️⚠️
Thomas R
iOS user
Knowunity is the BEST app I’ve used in a minute. This is not an ai review or anything this is genuinely coming from a 7th grade student (I know 2011 im young) but dude this app is a 10/10 i have maintained a 3.8 gpa and have plenty of time for gaming. I love it and my mom is just happy I got good grades
Brad T
Android user
Not only did it help me find the answer but it also showed me alternative ways to solve it. I was horrible in math and science but now I have an a in both subjects. Thanks for the help🤍🤍
David K
iOS user
The app's just great! All I have to do is enter the topic in the search bar and I get the response real fast. I don't have to watch 10 YouTube videos to understand something, so I'm saving my time. Highly recommended!
Sudenaz Ocak
Android user
In school I was really bad at maths but thanks to the app, I am doing better now. I am so grateful that you made the app.
Greenlight Bonnie
Android user
I found this app a couple years ago and it has only gotten better since then. I really love it because it can help with written questions and photo questions. Also, it can find study guides that other people have made as well as flashcard sets and practice tests. The free version is also amazing for students who might not be able to afford it. Would 100% recommend
Aubrey
iOS user
Best app if you're in Highschool or Junior high. I have been using this app for 2 school years and it's the best, it's good if you don't have anyone to help you with school work.😋🩷🎀
Marco B
iOS user
THE QUIZES AND FLASHCARDS ARE SO USEFUL AND I LOVE Knowunity AI. IT ALSO IS LITREALLY LIKE CHATGPT BUT SMARTER!! HELPED ME WITH MY MASCARA PROBLEMS TOO!! AS WELL AS MY REAL SUBJECTS ! DUHHH 😍😁😲🤑💗✨🎀😮
Elisha
iOS user
This app is phenomenal down to the correct info and the various topics you can study! I greatly recommend it for people who struggle with procrastination and those who need homework help. It has been perfectly accurate for world 1 history as far as I’ve seen! Geometry too!
Paul T
iOS user
Ready to master calculus integrals? This review covers essential integration techniques, area calculations, and applications of the Fundamental Theorem of Calculus. You'll see how to solve various types of integrals and apply these concepts to real-world problems involving accumulation and... Show more

Access to all documents
Improve your grades
Join milions of students
Integration is all about finding antiderivatives, and there are several key techniques you need to master. When integrating expressions like , remember to rewrite them using negative exponents $x^{-2}$, which gives you as your answer.
For trigonometric functions like , the substitution method is your best friend. Make a substitution like which means $du = 2dx$, and you'll transform the integral into a simpler form that's easier to solve.
When dealing with piecewise functions in area problems, break down the integral into separate regions. For example, finding involves calculating the accumulated area from the starting point to various x-values.
Pro Tip: When using substitution, always remember to adjust your dx term! If , then . This small detail is often where calculation errors happen.
More complex rational expressions like also yield to substitution. By setting , you can convert it to .

Access to all documents
Improve your grades
Join milions of students
The Fundamental Theorem of Calculus (FTC) connects derivatives and integrals in a powerful way. If G(x) is an antiderivative of f(x), then . This means you can find unknown values of antiderivatives using definite integrals!
When working with average values, remember the formula: . This represents the average value of a function over an interval, like finding the average value of on .
For integrals containing composite functions, like , substitution works wonders. By setting and finding , you can simplify the integral to .
Watch Out: When working with definite integrals and substitution, you can either change the bounds of integration to match your new variable or substitute back before evaluating the limits.
Definite integrals can also have variable upper limits, as in . These require careful application of the FTC and sometimes the chain rule when finding derivatives.

Access to all documents
Improve your grades
Join milions of students
Understanding the geometric meaning of integrals helps with problem-solving. Trapezoidal sums and Riemann sums provide different approximations of the true area under a curve. The shape of the function determines whether these approximations over- or under-estimate the actual value.
Real-world problems often involve rates of change. In a snow accumulation problem, for example, when snow falls at rate f(t) and is removed at rate g(t), the net rate of change is f(t) - g(t). The total snow at any time can be found using definite integrals.
To find the amount of accumulated quantity (like snow), integrate the rate function. For instance, gives the total snow accumulated from t=0 to t=6. When working with removal rates, create a piecewise function to represent the total removal over time.
Make It Click: Think of integration as "adding up tiny bits." When a snowplow removes snow at 125 cubic feet per hour for 1 hour, that's 125 cubic feet total. The integral just handles varying rates!
The net quantity at any time equals the total accumulation minus the total removal. For our snow example, this would be cubic feet at t=9.

Access to all documents
Improve your grades
Join milions of students
Circular cross-sections are common in many real-world applications. For a blood vessel with varying diameter B(x), the average radius is found using , which you can approximate using numerical methods like the midpoint Riemann sum.
Understanding the physical meaning of integrals is crucial. For example, represents the volume of the blood vessel between positions x=125 and x=175, measured in cubic millimeters. This is because the cross-sectional area at any point is or .
In particle motion problems, velocity v(t) is the derivative of position x(t), so position is the antiderivative of velocity: . When given information like "the particle has position x=5 when t=2," you can determine the constant of integration C and find the complete position function.
Connect the Concepts: Remember that velocity is the derivative of position, and position is the antiderivative of velocity. This relationship is at the heart of the Fundamental Theorem of Calculus!
To solve completely, find the antiderivative, determine the constant of integration using the given information, and then use the resulting function to calculate positions at specific times.
Our AI companion is specifically built for the needs of students. Based on the millions of content pieces we have on the platform we can provide truly meaningful and relevant answers to students. But its not only about answers, the companion is even more about guiding students through their daily learning challenges, with personalised study plans, quizzes or content pieces in the chat and 100% personalisation based on the students skills and developments.
You can download the app in the Google Play Store and in the Apple App Store.
That's right! Enjoy free access to study content, connect with fellow students, and get instant help – all at your fingertips.
0
Smart Tools NEW
Transform this note into: ✓ 50+ Practice Questions ✓ Interactive Flashcards ✓ Full Practice Test ✓ Essay Outlines
App Store
Google Play
The app is very easy to use and well designed. I have found everything I was looking for so far and have been able to learn a lot from the presentations! I will definitely use the app for a class assignment! And of course it also helps a lot as an inspiration.
Stefan S
iOS user
This app is really great. There are so many study notes and help [...]. My problem subject is French, for example, and the app has so many options for help. Thanks to this app, I have improved my French. I would recommend it to anyone.
Samantha Klich
Android user
Wow, I am really amazed. I just tried the app because I've seen it advertised many times and was absolutely stunned. This app is THE HELP you want for school and above all, it offers so many things, such as workouts and fact sheets, which have been VERY helpful to me personally.
Anna
iOS user
I think it’s very much worth it and you’ll end up using it a lot once you get the hang of it and even after looking at others notes you can still ask your Artificial intelligence buddy the question and ask to simplify it if you still don’t get it!!! In the end I think it’s worth it 😊👍 ⚠️Also DID I MENTION ITS FREEE YOU DON’T HAVE TO PAY FOR ANYTHING AND STILL GET YOUR GRADES IN PERFECTLY❗️❗️⚠️
Thomas R
iOS user
Knowunity is the BEST app I’ve used in a minute. This is not an ai review or anything this is genuinely coming from a 7th grade student (I know 2011 im young) but dude this app is a 10/10 i have maintained a 3.8 gpa and have plenty of time for gaming. I love it and my mom is just happy I got good grades
Brad T
Android user
Not only did it help me find the answer but it also showed me alternative ways to solve it. I was horrible in math and science but now I have an a in both subjects. Thanks for the help🤍🤍
David K
iOS user
The app's just great! All I have to do is enter the topic in the search bar and I get the response real fast. I don't have to watch 10 YouTube videos to understand something, so I'm saving my time. Highly recommended!
Sudenaz Ocak
Android user
In school I was really bad at maths but thanks to the app, I am doing better now. I am so grateful that you made the app.
Greenlight Bonnie
Android user
I found this app a couple years ago and it has only gotten better since then. I really love it because it can help with written questions and photo questions. Also, it can find study guides that other people have made as well as flashcard sets and practice tests. The free version is also amazing for students who might not be able to afford it. Would 100% recommend
Aubrey
iOS user
Best app if you're in Highschool or Junior high. I have been using this app for 2 school years and it's the best, it's good if you don't have anyone to help you with school work.😋🩷🎀
Marco B
iOS user
THE QUIZES AND FLASHCARDS ARE SO USEFUL AND I LOVE Knowunity AI. IT ALSO IS LITREALLY LIKE CHATGPT BUT SMARTER!! HELPED ME WITH MY MASCARA PROBLEMS TOO!! AS WELL AS MY REAL SUBJECTS ! DUHHH 😍😁😲🤑💗✨🎀😮
Elisha
iOS user
This app is phenomenal down to the correct info and the various topics you can study! I greatly recommend it for people who struggle with procrastination and those who need homework help. It has been perfectly accurate for world 1 history as far as I’ve seen! Geometry too!
Paul T
iOS user
The app is very easy to use and well designed. I have found everything I was looking for so far and have been able to learn a lot from the presentations! I will definitely use the app for a class assignment! And of course it also helps a lot as an inspiration.
Stefan S
iOS user
This app is really great. There are so many study notes and help [...]. My problem subject is French, for example, and the app has so many options for help. Thanks to this app, I have improved my French. I would recommend it to anyone.
Samantha Klich
Android user
Wow, I am really amazed. I just tried the app because I've seen it advertised many times and was absolutely stunned. This app is THE HELP you want for school and above all, it offers so many things, such as workouts and fact sheets, which have been VERY helpful to me personally.
Anna
iOS user
I think it’s very much worth it and you’ll end up using it a lot once you get the hang of it and even after looking at others notes you can still ask your Artificial intelligence buddy the question and ask to simplify it if you still don’t get it!!! In the end I think it’s worth it 😊👍 ⚠️Also DID I MENTION ITS FREEE YOU DON’T HAVE TO PAY FOR ANYTHING AND STILL GET YOUR GRADES IN PERFECTLY❗️❗️⚠️
Thomas R
iOS user
Knowunity is the BEST app I’ve used in a minute. This is not an ai review or anything this is genuinely coming from a 7th grade student (I know 2011 im young) but dude this app is a 10/10 i have maintained a 3.8 gpa and have plenty of time for gaming. I love it and my mom is just happy I got good grades
Brad T
Android user
Not only did it help me find the answer but it also showed me alternative ways to solve it. I was horrible in math and science but now I have an a in both subjects. Thanks for the help🤍🤍
David K
iOS user
The app's just great! All I have to do is enter the topic in the search bar and I get the response real fast. I don't have to watch 10 YouTube videos to understand something, so I'm saving my time. Highly recommended!
Sudenaz Ocak
Android user
In school I was really bad at maths but thanks to the app, I am doing better now. I am so grateful that you made the app.
Greenlight Bonnie
Android user
I found this app a couple years ago and it has only gotten better since then. I really love it because it can help with written questions and photo questions. Also, it can find study guides that other people have made as well as flashcard sets and practice tests. The free version is also amazing for students who might not be able to afford it. Would 100% recommend
Aubrey
iOS user
Best app if you're in Highschool or Junior high. I have been using this app for 2 school years and it's the best, it's good if you don't have anyone to help you with school work.😋🩷🎀
Marco B
iOS user
THE QUIZES AND FLASHCARDS ARE SO USEFUL AND I LOVE Knowunity AI. IT ALSO IS LITREALLY LIKE CHATGPT BUT SMARTER!! HELPED ME WITH MY MASCARA PROBLEMS TOO!! AS WELL AS MY REAL SUBJECTS ! DUHHH 😍😁😲🤑💗✨🎀😮
Elisha
iOS user
This app is phenomenal down to the correct info and the various topics you can study! I greatly recommend it for people who struggle with procrastination and those who need homework help. It has been perfectly accurate for world 1 history as far as I’ve seen! Geometry too!
Paul T
iOS user