Mastering limits and continuity is essential for understanding calculus. These... Show more
Sign up to see the contentIt's free!
Access to all documents
Improve your grades
Join milions of students
Knowunity AI
Subjects
Triangle Congruence and Similarity Theorems
Triangle Properties and Classification
Linear Equations and Graphs
Geometric Angle Relationships
Trigonometric Functions and Identities
Equation Solving Techniques
Circle Geometry Fundamentals
Division Operations and Methods
Basic Differentiation Rules
Exponent and Logarithm Properties
Show all topics
Human Organ Systems
Reproductive Cell Cycles
Biological Sciences Subdisciplines
Cellular Energy Metabolism
Autotrophic Energy Processes
Inheritance Patterns and Principles
Biomolecular Structure and Organization
Cell Cycle and Division Mechanics
Cellular Organization and Development
Biological Structural Organization
Show all topics
Chemical Sciences and Applications
Atomic Structure and Composition
Molecular Electron Structure Representation
Atomic Electron Behavior
Matter Properties and Water
Mole Concept and Calculations
Gas Laws and Behavior
Periodic Table Organization
Chemical Thermodynamics Fundamentals
Chemical Bond Types and Properties
Show all topics
European Renaissance and Enlightenment
European Cultural Movements 800-1920
American Revolution Era 1763-1797
American Civil War 1861-1865
Global Imperial Systems
Mongol and Chinese Dynasties
U.S. Presidents and World Leaders
Historical Sources and Documentation
World Wars Era and Impact
World Religious Systems
Show all topics
Classic and Contemporary Novels
Literary Character Analysis
Rhetorical Theory and Practice
Classic Literary Narratives
Reading Analysis and Interpretation
Narrative Structure and Techniques
English Language Components
Influential English-Language Authors
Basic Sentence Structure
Narrative Voice and Perspective
Show all topics
30
•
Updated Feb 17, 2026
•
Alys
@sleepizombi
Mastering limits and continuity is essential for understanding calculus. These... Show more











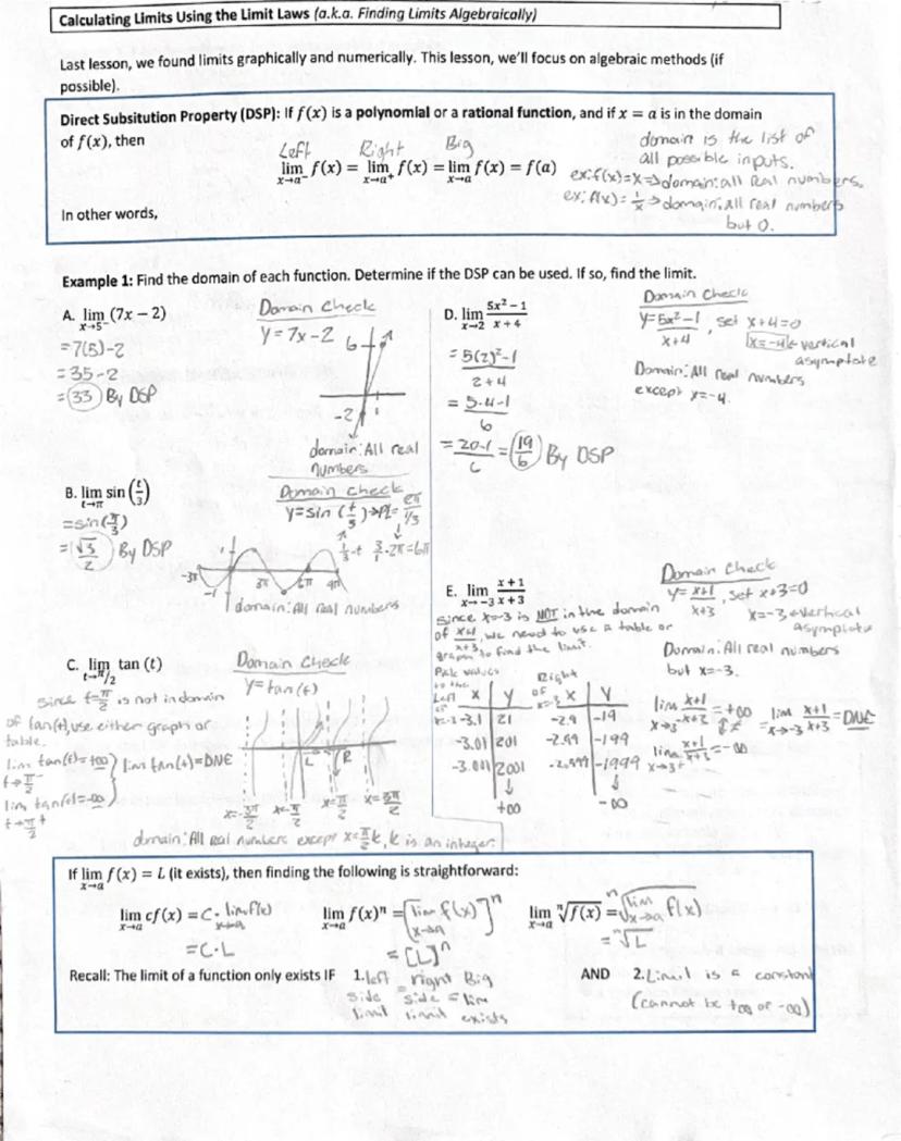
Ever wonder how to find limits without resorting to endless graphing? The Direct Substitution Property (DSP) is your best friend when evaluating limits algebraically.
The DSP states that if f(x) is a polynomial or rational function, and x = a is in the domain of f(x), then: \lim_{x \to a} f(x) = f(a)
This means you can simply plug the value into the function! But what if direct substitution gives you or another undefined expression?
When the DSP doesn't work immediately:
⚠️ Remember: The limit of a function exists only if both the left-hand limit and right-hand limit exist and equal the same value, and that value must be a real number (not infinity).
For example, to find , we can directly substitute:
But when evaluating , we can't use the DSP since isn't in the domain of tangent. In this case, using a graph or table shows that this limit doesn't exist.

When limits give you a headache by resulting in at first glance, you need special algebraic techniques to uncover their true values.
For example, when finding , direct substitution gives (indeterminate). But factoring helps: \lim_{x \to 3} \frac{x^2-9}{x-3} = \lim_{x \to 3} \frac{}{x-3} = \lim_{x \to 3} = 6
For expressions involving roots, the conjugate method is powerful. Consider finding :
First try direct substitution: (indeterminate) Multiply by the conjugate: Simplify:
🔑 Pro Tip: Don't drop the "lim" notation until you reach a point where you can apply the DSP. Keeping track of the limit operation helps avoid errors in your calculations.
Remember your checklist:

When tackling limits with multiple terms or roots, expanding expressions can reveal simpler forms that are easier to evaluate.
For example, to find , start by expanding the numerator: \lim_{h \to 0} \frac{121+22h+h^2 - 121}{h} = \lim_{h \to 0} \frac{22h+h^2}{h} = \lim_{h \to 0} = 22
The conjugate method is especially useful for limits involving radicals. Consider :
Multiply by to rationalize: \lim_{t \to 0} \frac{}{3 + \sqrt{t+9}} = \lim_{t \to 0} \frac{9 - }{3 + \sqrt{t+9}} = \lim_{t \to 0} \frac{-t}{3 + \sqrt{t+9}} = \frac{0}{6} = 0
For reciprocal expressions like , rewrite using common fractions: \lim_{h \to 0} \frac{\frac{1}{3+h} - \frac{1}{3}}{h} = \lim_{h \to 0} \frac{3 - }{3h} = \lim_{h \to 0} \frac{-h}{3h} = \lim_{h \to 0} \frac{-1}{3} = \frac{-1}{9}
💡 Remember: These techniques transform indeterminate forms into expressions where direct substitution works. The key is identifying which technique to apply based on the structure of the limit problem.

Absolute value expressions require special attention in limits, as their behavior changes depending on whether the input is positive or negative.
For expressions of the form , the result depends on the sign of f(x):
This means that when evaluating limits involving , you need to consider left and right-hand limits separately.
For example, when finding :
First, simplify:
For x < 2, we have , so:
For x > 2, we have , so:
Since the left and right limits are different, doesn't exist.
🔍 When working with absolute values in limits, always examine how the expression behaves on both sides of the point in question. The behavior often changes at the transition point.

When direct algebraic methods fail, the Squeeze Theorem offers an elegant way to find limits by "trapping" a function between two simpler functions.
The Squeeze Theorem states: If f(x) ≤ g(x) ≤ h(x) near a (except possibly at a) and both lim f(x) and lim h(x) equal L as x → a, then lim g(x) = L as well.
Think of it like this: if g(x) is sandwiched between two functions that both approach the same value, then g(x) must approach that value too!
For example, to find given that :
First, calculate the limits of the bounding functions:
Since both bounds approach -40, by the Squeeze Theorem:
This is especially useful for oscillating functions. For instance, to find :
We know , so:
As , both and approach 0, so:
✨ The Squeeze Theorem is your secret weapon for functions with complicated behavior. It's particularly useful for products involving trigonometric functions or other oscillating terms.

A function f(x) is continuous at x = a if there's no hole, jump, or asymptote at that point. This requires three specific conditions:
All three conditions must be true for a function to be continuous at a point. If even one fails, the function is discontinuous there.
For example, consider the piecewise function: f(t) = \begin{cases} \frac{t-1}{t^2-1} & \text{if } t \neq 1 \ 2 & \text{if } t = 1 \end{cases}
To check continuity at t = 1:
To find values that make a piecewise function continuous, equate the limits at transition points with the defined function values.
🔄 Continuity is crucial for many calculus theorems. A function that's continuous on an interval can be differentiated and integrated on that interval, and it satisfies the Intermediate Value Theorem.

The Intermediate Value Theorem (IVT) is a powerful tool that guarantees the existence of solutions within continuous functions.
If f(x) is continuous on an interval [a,b] and N is any number between f(a) and f(b), then there exists at least one value c in the interval [a,b] where f(c) = N.
In simple terms: if a continuous function has outputs of y = 3 and y = 7, it must hit every value between 3 and 7 somewhere along the way.
This is especially useful for finding roots :
For example, to show that cos(x) = x has a solution in (0,1):
🎯 The IVT doesn't tell you exactly where the solution is—just that it exists. For finding the precise value, you'd need to use numerical methods like bisection or Newton's method.

Understanding what happens to functions as x gets extremely large (or extremely negative) is crucial for analyzing long-term behavior.
When we write , we mean that as x grows without bound in the positive direction, f(x) gets arbitrarily close to L.
For rational functions as x approaches infinity:
For example, for :
Divide by x³ (highest power in denominator): \lim_{x \to \infty} \frac{5x^2 + 2x - 1}{4x^3 + 5x + 2} = \lim_{x \to \infty} \frac{\frac{5}{x} + \frac{2}{x^2} - \frac{1}{x^3}}{4 + \frac{5}{x^2} + \frac{2}{x^3}} = \frac{0}{4} = 0
The horizontal asymptote is the line y = L, where L is the limit as x approaches ±∞.
📈 Horizontal asymptotes tell you the "end behavior" of a function—what happens far to the left or right on the graph. A function can cross its horizontal asymptote, unlike vertical asymptotes.

When x grows extremely large (positively or negatively), many functions settle toward a specific value—this value becomes a horizontal asymptote.
For a function to have a horizontal asymptote at y = L, either:
A function can have different horizontal asymptotes on the left and right sides. For example, a function might approach y = 2 as x → ∞ and y = -1 as x → -∞.
When sketching graphs with horizontal asymptotes:
For rational functions, the horizontal asymptote behavior depends on the degrees of the numerator and denominator polynomials:
🌊 Think of horizontal asymptotes as the "eventual" behavior of a function. As x moves farther from the origin, the function values gradually settle toward their asymptotic value.

Understanding how different types of functions behave as x approaches infinity gives you powerful tools for analyzing their end behavior.
Key limits to remember:
For rational functions, follow this process:
For example, with :
Divide everything by x³: \frac{5x^2 + 2x - 1}{4x^3 + 5x + 2} = \frac{\frac{5}{x} + \frac{2}{x^2} - \frac{1}{x^3}}{4 + \frac{5}{x^2} + \frac{2}{x^3}}
As x → ∞, all terms with x in the denominator approach 0: \lim_{x \to \infty} \frac{5x^2 + 2x - 1}{4x^3 + 5x + 2} = \frac{0}{4} = 0
💫 The key insight: terms with higher powers of x in the denominator approach zero faster. This allows us to determine which terms dominate as x gets very large.
Our AI companion is specifically built for the needs of students. Based on the millions of content pieces we have on the platform we can provide truly meaningful and relevant answers to students. But its not only about answers, the companion is even more about guiding students through their daily learning challenges, with personalised study plans, quizzes or content pieces in the chat and 100% personalisation based on the students skills and developments.
You can download the app in the Google Play Store and in the Apple App Store.
That's right! Enjoy free access to study content, connect with fellow students, and get instant help – all at your fingertips.
App Store
Google Play
The app is very easy to use and well designed. I have found everything I was looking for so far and have been able to learn a lot from the presentations! I will definitely use the app for a class assignment! And of course it also helps a lot as an inspiration.
Stefan S
iOS user
This app is really great. There are so many study notes and help [...]. My problem subject is French, for example, and the app has so many options for help. Thanks to this app, I have improved my French. I would recommend it to anyone.
Samantha Klich
Android user
Wow, I am really amazed. I just tried the app because I've seen it advertised many times and was absolutely stunned. This app is THE HELP you want for school and above all, it offers so many things, such as workouts and fact sheets, which have been VERY helpful to me personally.
Anna
iOS user
I think it’s very much worth it and you’ll end up using it a lot once you get the hang of it and even after looking at others notes you can still ask your Artificial intelligence buddy the question and ask to simplify it if you still don’t get it!!! In the end I think it’s worth it 😊👍 ⚠️Also DID I MENTION ITS FREEE YOU DON’T HAVE TO PAY FOR ANYTHING AND STILL GET YOUR GRADES IN PERFECTLY❗️❗️⚠️
Thomas R
iOS user
Knowunity is the BEST app I’ve used in a minute. This is not an ai review or anything this is genuinely coming from a 7th grade student (I know 2011 im young) but dude this app is a 10/10 i have maintained a 3.8 gpa and have plenty of time for gaming. I love it and my mom is just happy I got good grades
Brad T
Android user
Not only did it help me find the answer but it also showed me alternative ways to solve it. I was horrible in math and science but now I have an a in both subjects. Thanks for the help🤍🤍
David K
iOS user
The app's just great! All I have to do is enter the topic in the search bar and I get the response real fast. I don't have to watch 10 YouTube videos to understand something, so I'm saving my time. Highly recommended!
Sudenaz Ocak
Android user
In school I was really bad at maths but thanks to the app, I am doing better now. I am so grateful that you made the app.
Greenlight Bonnie
Android user
I found this app a couple years ago and it has only gotten better since then. I really love it because it can help with written questions and photo questions. Also, it can find study guides that other people have made as well as flashcard sets and practice tests. The free version is also amazing for students who might not be able to afford it. Would 100% recommend
Aubrey
iOS user
Best app if you're in Highschool or Junior high. I have been using this app for 2 school years and it's the best, it's good if you don't have anyone to help you with school work.😋🩷🎀
Marco B
iOS user
THE QUIZES AND FLASHCARDS ARE SO USEFUL AND I LOVE Knowunity AI. IT ALSO IS LITREALLY LIKE CHATGPT BUT SMARTER!! HELPED ME WITH MY MASCARA PROBLEMS TOO!! AS WELL AS MY REAL SUBJECTS ! DUHHH 😍😁😲🤑💗✨🎀😮
Elisha
iOS user
This app is phenomenal down to the correct info and the various topics you can study! I greatly recommend it for people who struggle with procrastination and those who need homework help. It has been perfectly accurate for world 1 history as far as I’ve seen! Geometry too!
Paul T
iOS user
The app is very easy to use and well designed. I have found everything I was looking for so far and have been able to learn a lot from the presentations! I will definitely use the app for a class assignment! And of course it also helps a lot as an inspiration.
Stefan S
iOS user
This app is really great. There are so many study notes and help [...]. My problem subject is French, for example, and the app has so many options for help. Thanks to this app, I have improved my French. I would recommend it to anyone.
Samantha Klich
Android user
Wow, I am really amazed. I just tried the app because I've seen it advertised many times and was absolutely stunned. This app is THE HELP you want for school and above all, it offers so many things, such as workouts and fact sheets, which have been VERY helpful to me personally.
Anna
iOS user
I think it’s very much worth it and you’ll end up using it a lot once you get the hang of it and even after looking at others notes you can still ask your Artificial intelligence buddy the question and ask to simplify it if you still don’t get it!!! In the end I think it’s worth it 😊👍 ⚠️Also DID I MENTION ITS FREEE YOU DON’T HAVE TO PAY FOR ANYTHING AND STILL GET YOUR GRADES IN PERFECTLY❗️❗️⚠️
Thomas R
iOS user
Knowunity is the BEST app I’ve used in a minute. This is not an ai review or anything this is genuinely coming from a 7th grade student (I know 2011 im young) but dude this app is a 10/10 i have maintained a 3.8 gpa and have plenty of time for gaming. I love it and my mom is just happy I got good grades
Brad T
Android user
Not only did it help me find the answer but it also showed me alternative ways to solve it. I was horrible in math and science but now I have an a in both subjects. Thanks for the help🤍🤍
David K
iOS user
The app's just great! All I have to do is enter the topic in the search bar and I get the response real fast. I don't have to watch 10 YouTube videos to understand something, so I'm saving my time. Highly recommended!
Sudenaz Ocak
Android user
In school I was really bad at maths but thanks to the app, I am doing better now. I am so grateful that you made the app.
Greenlight Bonnie
Android user
I found this app a couple years ago and it has only gotten better since then. I really love it because it can help with written questions and photo questions. Also, it can find study guides that other people have made as well as flashcard sets and practice tests. The free version is also amazing for students who might not be able to afford it. Would 100% recommend
Aubrey
iOS user
Best app if you're in Highschool or Junior high. I have been using this app for 2 school years and it's the best, it's good if you don't have anyone to help you with school work.😋🩷🎀
Marco B
iOS user
THE QUIZES AND FLASHCARDS ARE SO USEFUL AND I LOVE Knowunity AI. IT ALSO IS LITREALLY LIKE CHATGPT BUT SMARTER!! HELPED ME WITH MY MASCARA PROBLEMS TOO!! AS WELL AS MY REAL SUBJECTS ! DUHHH 😍😁😲🤑💗✨🎀😮
Elisha
iOS user
This app is phenomenal down to the correct info and the various topics you can study! I greatly recommend it for people who struggle with procrastination and those who need homework help. It has been perfectly accurate for world 1 history as far as I’ve seen! Geometry too!
Paul T
iOS user
Alys
@sleepizombi
Mastering limits and continuity is essential for understanding calculus. These concepts are the foundation for derivatives, integrals, and many advanced math topics. This summary breaks down key methods for evaluating limits algebraically, understanding function continuity, and analyzing behavior as x... Show more

Access to all documents
Improve your grades
Join milions of students
Ever wonder how to find limits without resorting to endless graphing? The Direct Substitution Property (DSP) is your best friend when evaluating limits algebraically.
The DSP states that if f(x) is a polynomial or rational function, and x = a is in the domain of f(x), then: \lim_{x \to a} f(x) = f(a)
This means you can simply plug the value into the function! But what if direct substitution gives you or another undefined expression?
When the DSP doesn't work immediately:
⚠️ Remember: The limit of a function exists only if both the left-hand limit and right-hand limit exist and equal the same value, and that value must be a real number (not infinity).
For example, to find , we can directly substitute:
But when evaluating , we can't use the DSP since isn't in the domain of tangent. In this case, using a graph or table shows that this limit doesn't exist.

Access to all documents
Improve your grades
Join milions of students
When limits give you a headache by resulting in at first glance, you need special algebraic techniques to uncover their true values.
For example, when finding , direct substitution gives (indeterminate). But factoring helps: \lim_{x \to 3} \frac{x^2-9}{x-3} = \lim_{x \to 3} \frac{}{x-3} = \lim_{x \to 3} = 6
For expressions involving roots, the conjugate method is powerful. Consider finding :
First try direct substitution: (indeterminate) Multiply by the conjugate: Simplify:
🔑 Pro Tip: Don't drop the "lim" notation until you reach a point where you can apply the DSP. Keeping track of the limit operation helps avoid errors in your calculations.
Remember your checklist:

Access to all documents
Improve your grades
Join milions of students
When tackling limits with multiple terms or roots, expanding expressions can reveal simpler forms that are easier to evaluate.
For example, to find , start by expanding the numerator: \lim_{h \to 0} \frac{121+22h+h^2 - 121}{h} = \lim_{h \to 0} \frac{22h+h^2}{h} = \lim_{h \to 0} = 22
The conjugate method is especially useful for limits involving radicals. Consider :
Multiply by to rationalize: \lim_{t \to 0} \frac{}{3 + \sqrt{t+9}} = \lim_{t \to 0} \frac{9 - }{3 + \sqrt{t+9}} = \lim_{t \to 0} \frac{-t}{3 + \sqrt{t+9}} = \frac{0}{6} = 0
For reciprocal expressions like , rewrite using common fractions: \lim_{h \to 0} \frac{\frac{1}{3+h} - \frac{1}{3}}{h} = \lim_{h \to 0} \frac{3 - }{3h} = \lim_{h \to 0} \frac{-h}{3h} = \lim_{h \to 0} \frac{-1}{3} = \frac{-1}{9}
💡 Remember: These techniques transform indeterminate forms into expressions where direct substitution works. The key is identifying which technique to apply based on the structure of the limit problem.

Access to all documents
Improve your grades
Join milions of students
Absolute value expressions require special attention in limits, as their behavior changes depending on whether the input is positive or negative.
For expressions of the form , the result depends on the sign of f(x):
This means that when evaluating limits involving , you need to consider left and right-hand limits separately.
For example, when finding :
First, simplify:
For x < 2, we have , so:
For x > 2, we have , so:
Since the left and right limits are different, doesn't exist.
🔍 When working with absolute values in limits, always examine how the expression behaves on both sides of the point in question. The behavior often changes at the transition point.

Access to all documents
Improve your grades
Join milions of students
When direct algebraic methods fail, the Squeeze Theorem offers an elegant way to find limits by "trapping" a function between two simpler functions.
The Squeeze Theorem states: If f(x) ≤ g(x) ≤ h(x) near a (except possibly at a) and both lim f(x) and lim h(x) equal L as x → a, then lim g(x) = L as well.
Think of it like this: if g(x) is sandwiched between two functions that both approach the same value, then g(x) must approach that value too!
For example, to find given that :
First, calculate the limits of the bounding functions:
Since both bounds approach -40, by the Squeeze Theorem:
This is especially useful for oscillating functions. For instance, to find :
We know , so:
As , both and approach 0, so:
✨ The Squeeze Theorem is your secret weapon for functions with complicated behavior. It's particularly useful for products involving trigonometric functions or other oscillating terms.

Access to all documents
Improve your grades
Join milions of students
A function f(x) is continuous at x = a if there's no hole, jump, or asymptote at that point. This requires three specific conditions:
All three conditions must be true for a function to be continuous at a point. If even one fails, the function is discontinuous there.
For example, consider the piecewise function: f(t) = \begin{cases} \frac{t-1}{t^2-1} & \text{if } t \neq 1 \ 2 & \text{if } t = 1 \end{cases}
To check continuity at t = 1:
To find values that make a piecewise function continuous, equate the limits at transition points with the defined function values.
🔄 Continuity is crucial for many calculus theorems. A function that's continuous on an interval can be differentiated and integrated on that interval, and it satisfies the Intermediate Value Theorem.

Access to all documents
Improve your grades
Join milions of students
The Intermediate Value Theorem (IVT) is a powerful tool that guarantees the existence of solutions within continuous functions.
If f(x) is continuous on an interval [a,b] and N is any number between f(a) and f(b), then there exists at least one value c in the interval [a,b] where f(c) = N.
In simple terms: if a continuous function has outputs of y = 3 and y = 7, it must hit every value between 3 and 7 somewhere along the way.
This is especially useful for finding roots :
For example, to show that cos(x) = x has a solution in (0,1):
🎯 The IVT doesn't tell you exactly where the solution is—just that it exists. For finding the precise value, you'd need to use numerical methods like bisection or Newton's method.

Access to all documents
Improve your grades
Join milions of students
Understanding what happens to functions as x gets extremely large (or extremely negative) is crucial for analyzing long-term behavior.
When we write , we mean that as x grows without bound in the positive direction, f(x) gets arbitrarily close to L.
For rational functions as x approaches infinity:
For example, for :
Divide by x³ (highest power in denominator): \lim_{x \to \infty} \frac{5x^2 + 2x - 1}{4x^3 + 5x + 2} = \lim_{x \to \infty} \frac{\frac{5}{x} + \frac{2}{x^2} - \frac{1}{x^3}}{4 + \frac{5}{x^2} + \frac{2}{x^3}} = \frac{0}{4} = 0
The horizontal asymptote is the line y = L, where L is the limit as x approaches ±∞.
📈 Horizontal asymptotes tell you the "end behavior" of a function—what happens far to the left or right on the graph. A function can cross its horizontal asymptote, unlike vertical asymptotes.

Access to all documents
Improve your grades
Join milions of students
When x grows extremely large (positively or negatively), many functions settle toward a specific value—this value becomes a horizontal asymptote.
For a function to have a horizontal asymptote at y = L, either:
A function can have different horizontal asymptotes on the left and right sides. For example, a function might approach y = 2 as x → ∞ and y = -1 as x → -∞.
When sketching graphs with horizontal asymptotes:
For rational functions, the horizontal asymptote behavior depends on the degrees of the numerator and denominator polynomials:
🌊 Think of horizontal asymptotes as the "eventual" behavior of a function. As x moves farther from the origin, the function values gradually settle toward their asymptotic value.

Access to all documents
Improve your grades
Join milions of students
Understanding how different types of functions behave as x approaches infinity gives you powerful tools for analyzing their end behavior.
Key limits to remember:
For rational functions, follow this process:
For example, with :
Divide everything by x³: \frac{5x^2 + 2x - 1}{4x^3 + 5x + 2} = \frac{\frac{5}{x} + \frac{2}{x^2} - \frac{1}{x^3}}{4 + \frac{5}{x^2} + \frac{2}{x^3}}
As x → ∞, all terms with x in the denominator approach 0: \lim_{x \to \infty} \frac{5x^2 + 2x - 1}{4x^3 + 5x + 2} = \frac{0}{4} = 0
💫 The key insight: terms with higher powers of x in the denominator approach zero faster. This allows us to determine which terms dominate as x gets very large.
Our AI companion is specifically built for the needs of students. Based on the millions of content pieces we have on the platform we can provide truly meaningful and relevant answers to students. But its not only about answers, the companion is even more about guiding students through their daily learning challenges, with personalised study plans, quizzes or content pieces in the chat and 100% personalisation based on the students skills and developments.
You can download the app in the Google Play Store and in the Apple App Store.
That's right! Enjoy free access to study content, connect with fellow students, and get instant help – all at your fingertips.
0
Smart Tools NEW
Transform this note into: ✓ 50+ Practice Questions ✓ Interactive Flashcards ✓ Full Practice Test ✓ Essay Outlines
App Store
Google Play
The app is very easy to use and well designed. I have found everything I was looking for so far and have been able to learn a lot from the presentations! I will definitely use the app for a class assignment! And of course it also helps a lot as an inspiration.
Stefan S
iOS user
This app is really great. There are so many study notes and help [...]. My problem subject is French, for example, and the app has so many options for help. Thanks to this app, I have improved my French. I would recommend it to anyone.
Samantha Klich
Android user
Wow, I am really amazed. I just tried the app because I've seen it advertised many times and was absolutely stunned. This app is THE HELP you want for school and above all, it offers so many things, such as workouts and fact sheets, which have been VERY helpful to me personally.
Anna
iOS user
I think it’s very much worth it and you’ll end up using it a lot once you get the hang of it and even after looking at others notes you can still ask your Artificial intelligence buddy the question and ask to simplify it if you still don’t get it!!! In the end I think it’s worth it 😊👍 ⚠️Also DID I MENTION ITS FREEE YOU DON’T HAVE TO PAY FOR ANYTHING AND STILL GET YOUR GRADES IN PERFECTLY❗️❗️⚠️
Thomas R
iOS user
Knowunity is the BEST app I’ve used in a minute. This is not an ai review or anything this is genuinely coming from a 7th grade student (I know 2011 im young) but dude this app is a 10/10 i have maintained a 3.8 gpa and have plenty of time for gaming. I love it and my mom is just happy I got good grades
Brad T
Android user
Not only did it help me find the answer but it also showed me alternative ways to solve it. I was horrible in math and science but now I have an a in both subjects. Thanks for the help🤍🤍
David K
iOS user
The app's just great! All I have to do is enter the topic in the search bar and I get the response real fast. I don't have to watch 10 YouTube videos to understand something, so I'm saving my time. Highly recommended!
Sudenaz Ocak
Android user
In school I was really bad at maths but thanks to the app, I am doing better now. I am so grateful that you made the app.
Greenlight Bonnie
Android user
I found this app a couple years ago and it has only gotten better since then. I really love it because it can help with written questions and photo questions. Also, it can find study guides that other people have made as well as flashcard sets and practice tests. The free version is also amazing for students who might not be able to afford it. Would 100% recommend
Aubrey
iOS user
Best app if you're in Highschool or Junior high. I have been using this app for 2 school years and it's the best, it's good if you don't have anyone to help you with school work.😋🩷🎀
Marco B
iOS user
THE QUIZES AND FLASHCARDS ARE SO USEFUL AND I LOVE Knowunity AI. IT ALSO IS LITREALLY LIKE CHATGPT BUT SMARTER!! HELPED ME WITH MY MASCARA PROBLEMS TOO!! AS WELL AS MY REAL SUBJECTS ! DUHHH 😍😁😲🤑💗✨🎀😮
Elisha
iOS user
This app is phenomenal down to the correct info and the various topics you can study! I greatly recommend it for people who struggle with procrastination and those who need homework help. It has been perfectly accurate for world 1 history as far as I’ve seen! Geometry too!
Paul T
iOS user
The app is very easy to use and well designed. I have found everything I was looking for so far and have been able to learn a lot from the presentations! I will definitely use the app for a class assignment! And of course it also helps a lot as an inspiration.
Stefan S
iOS user
This app is really great. There are so many study notes and help [...]. My problem subject is French, for example, and the app has so many options for help. Thanks to this app, I have improved my French. I would recommend it to anyone.
Samantha Klich
Android user
Wow, I am really amazed. I just tried the app because I've seen it advertised many times and was absolutely stunned. This app is THE HELP you want for school and above all, it offers so many things, such as workouts and fact sheets, which have been VERY helpful to me personally.
Anna
iOS user
I think it’s very much worth it and you’ll end up using it a lot once you get the hang of it and even after looking at others notes you can still ask your Artificial intelligence buddy the question and ask to simplify it if you still don’t get it!!! In the end I think it’s worth it 😊👍 ⚠️Also DID I MENTION ITS FREEE YOU DON’T HAVE TO PAY FOR ANYTHING AND STILL GET YOUR GRADES IN PERFECTLY❗️❗️⚠️
Thomas R
iOS user
Knowunity is the BEST app I’ve used in a minute. This is not an ai review or anything this is genuinely coming from a 7th grade student (I know 2011 im young) but dude this app is a 10/10 i have maintained a 3.8 gpa and have plenty of time for gaming. I love it and my mom is just happy I got good grades
Brad T
Android user
Not only did it help me find the answer but it also showed me alternative ways to solve it. I was horrible in math and science but now I have an a in both subjects. Thanks for the help🤍🤍
David K
iOS user
The app's just great! All I have to do is enter the topic in the search bar and I get the response real fast. I don't have to watch 10 YouTube videos to understand something, so I'm saving my time. Highly recommended!
Sudenaz Ocak
Android user
In school I was really bad at maths but thanks to the app, I am doing better now. I am so grateful that you made the app.
Greenlight Bonnie
Android user
I found this app a couple years ago and it has only gotten better since then. I really love it because it can help with written questions and photo questions. Also, it can find study guides that other people have made as well as flashcard sets and practice tests. The free version is also amazing for students who might not be able to afford it. Would 100% recommend
Aubrey
iOS user
Best app if you're in Highschool or Junior high. I have been using this app for 2 school years and it's the best, it's good if you don't have anyone to help you with school work.😋🩷🎀
Marco B
iOS user
THE QUIZES AND FLASHCARDS ARE SO USEFUL AND I LOVE Knowunity AI. IT ALSO IS LITREALLY LIKE CHATGPT BUT SMARTER!! HELPED ME WITH MY MASCARA PROBLEMS TOO!! AS WELL AS MY REAL SUBJECTS ! DUHHH 😍😁😲🤑💗✨🎀😮
Elisha
iOS user
This app is phenomenal down to the correct info and the various topics you can study! I greatly recommend it for people who struggle with procrastination and those who need homework help. It has been perfectly accurate for world 1 history as far as I’ve seen! Geometry too!
Paul T
iOS user