Learning to work with polynomials requires understanding both adding polynomials... Show more
Sign up to see the contentIt's free!
Access to all documents
Improve your grades
Join milions of students
Knowunity AI
Subjects
Triangle Congruence and Similarity Theorems
Triangle Properties and Classification
Linear Equations and Graphs
Geometric Angle Relationships
Trigonometric Functions and Identities
Equation Solving Techniques
Circle Geometry Fundamentals
Division Operations and Methods
Basic Differentiation Rules
Exponent and Logarithm Properties
Show all topics
Human Organ Systems
Reproductive Cell Cycles
Biological Sciences Subdisciplines
Cellular Energy Metabolism
Autotrophic Energy Processes
Inheritance Patterns and Principles
Biomolecular Structure and Organization
Cell Cycle and Division Mechanics
Cellular Organization and Development
Biological Structural Organization
Show all topics
Chemical Sciences and Applications
Atomic Structure and Composition
Molecular Electron Structure Representation
Atomic Electron Behavior
Matter Properties and Water
Mole Concept and Calculations
Gas Laws and Behavior
Periodic Table Organization
Chemical Thermodynamics Fundamentals
Chemical Bond Types and Properties
Show all topics
European Renaissance and Enlightenment
European Cultural Movements 800-1920
American Revolution Era 1763-1797
American Civil War 1861-1865
Global Imperial Systems
Mongol and Chinese Dynasties
U.S. Presidents and World Leaders
Historical Sources and Documentation
World Wars Era and Impact
World Religious Systems
Show all topics
Classic and Contemporary Novels
Literary Character Analysis
Rhetorical Theory and Practice
Classic Literary Narratives
Reading Analysis and Interpretation
Narrative Structure and Techniques
English Language Components
Influential English-Language Authors
Basic Sentence Structure
Narrative Voice and Perspective
Show all topics
410
•
Updated Feb 24, 2026
•
Learning to work with polynomials requires understanding both adding polynomials... Show more











A polynomial expression consists of terms that are monomials - individual components made up of numbers, variables, or their products. When working with polynomials, it's essential to understand their fundamental structure and classification.
Definition: A monomial is a mathematical expression that can be a number, variable, or product of numbers and variables. Examples include: 7, x, 2xy².
The complexity of polynomials increases based on the number of terms they contain. A polynomial with one term is called a monomial , two terms make a binomial , and three terms create a trinomial . When writing polynomials in one variable, mathematicians typically arrange terms in descending order, meaning the highest power of the variable appears first.
Example: The polynomial 4x³-3x²+6x-1 is written in descending order, with the term containing x³ first, followed by x², then x, and finally the constant term.
The degree of a polynomial in one variable is determined by the highest exponent of that variable in any term. For instance, in the polynomial 5y⁴-2y³+y²-7y+8, the degree is 4 because the highest power of y is 4. It's important to note that constants have a degree of zero, while the number zero itself has no degree.
Highlight: When identifying polynomial degrees:

Adding polynomials can be accomplished using either vertical or horizontal formats. Both methods rely on combining like terms - terms with identical variables raised to the same powers.
Example: When adding + vertically:
2x²+x-1
3x³+4x²-5
= 3x³+6x²+x-6
The horizontal format offers an alternative approach that uses the commutative and associative properties of addition. This method involves rearranging terms so that like terms are grouped together before combining them.
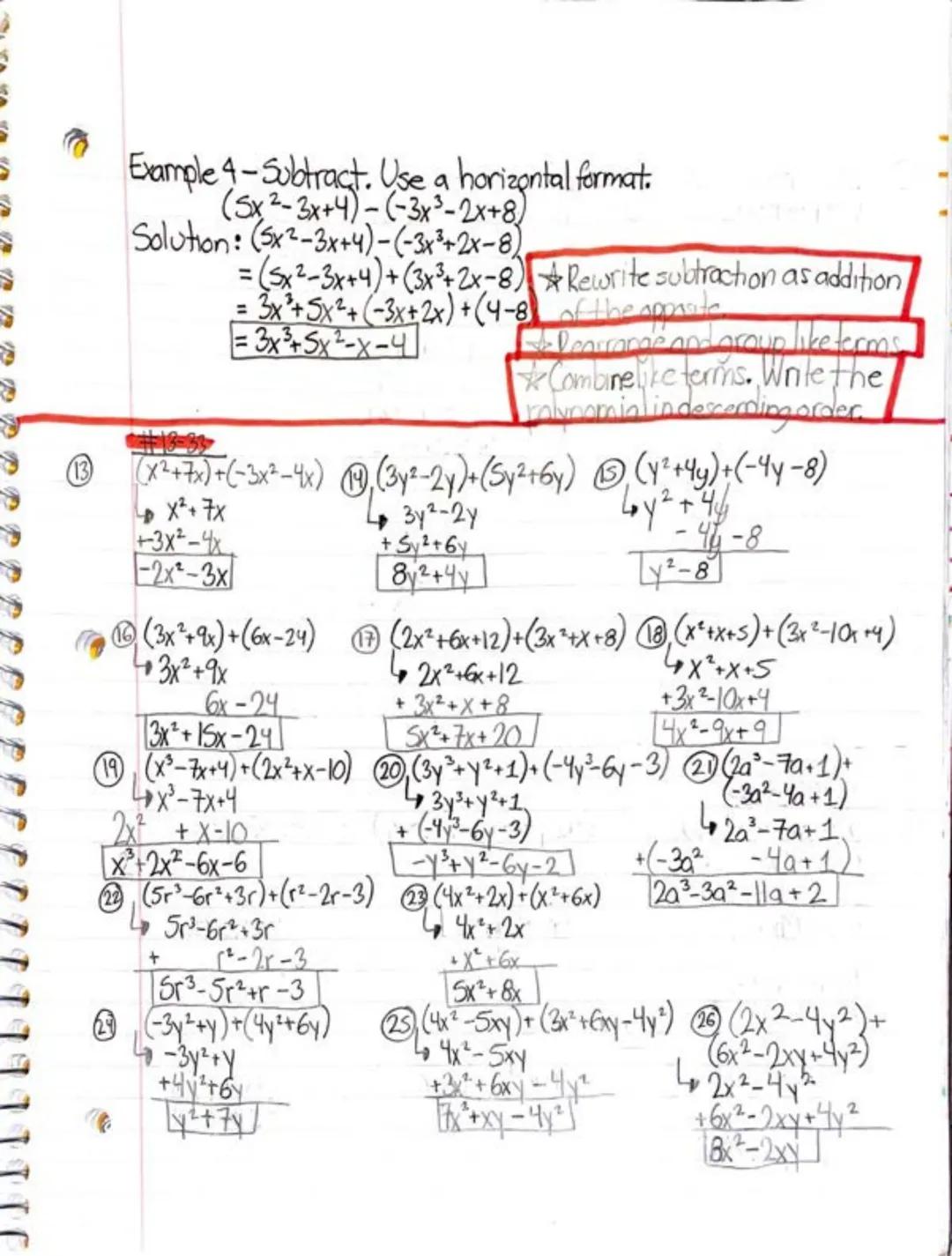
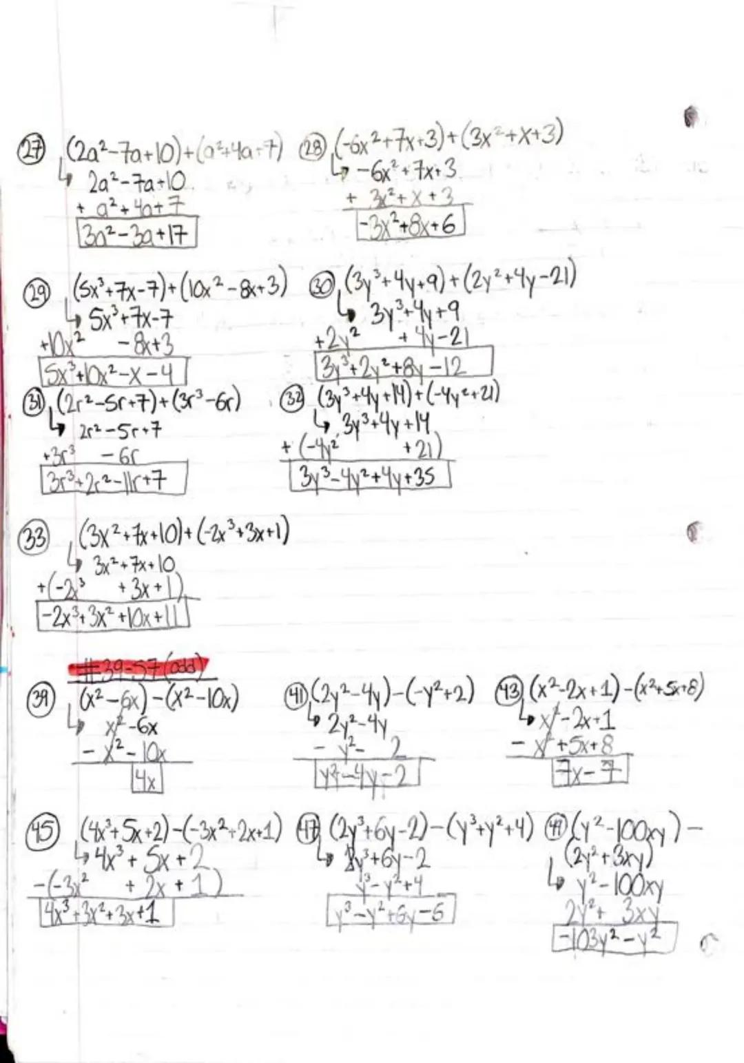
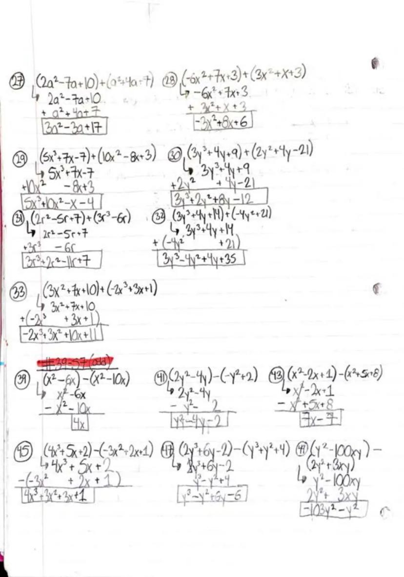
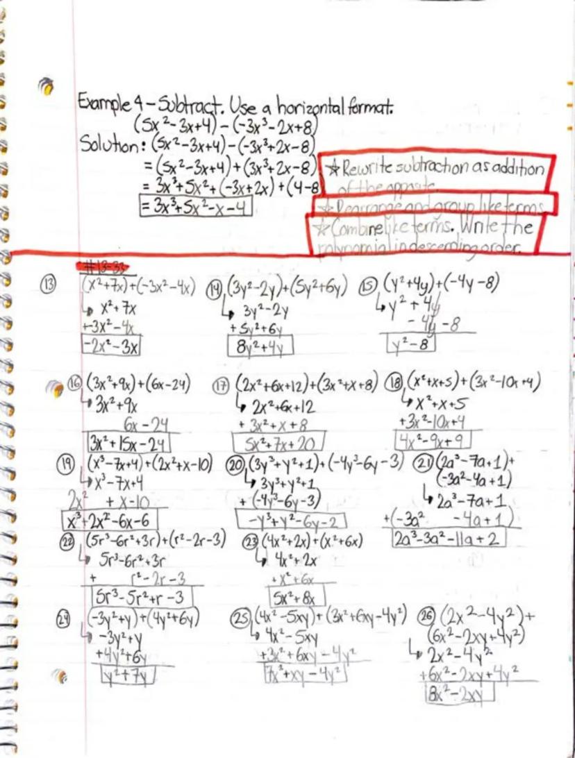
Highlight: When subtracting polynomials, add the opposite of the subtrahend (the polynomial being subtracted). The opposite of a polynomial is formed by changing the sign of every term.
For example, to find -, change each sign: -x²+2x-3
When performing polynomial subtraction, you can use either:

Working with more complex polynomial expressions requires careful attention to signs and terms. When adding or subtracting multiple polynomials, maintain organization by consistently aligning like terms.
Example: For the expression -:
The key to successful polynomial operations lies in systematic organization and careful attention to signs. Whether working vertically or horizontally, maintaining clear alignment of like terms prevents errors and simplifies calculations.
Vocabulary:

Mastering polynomial operations requires regular practice with various types of expressions. Common applications include:
Example: Practical problems involving:
When solving problems, remember these key strategies:
Highlight: Common mistakes to avoid:

Adding polynomials and working with exponents requires careful attention to mathematical rules and proper organization. Let's explore these concepts in detail.
Definition: A polynomial is an algebraic expression made up of variables and coefficients, where variables can only have whole number exponents.
When adding polynomials horizontally, you must identify like terms and combine them while maintaining their signs. For example, when adding 3x² + 2x + 1 and 2x² - 3x + 4, group like terms: + + (1 + 4) = 5x² - x + 5.
How to add polynomials vertically follows a similar principle but with a different visual organization:
3x² + 2x + 1
2x² - 3x + 4
____________
5x² - x + 5
Example: When subtracting polynomials, remember to distribute the negative sign to all terms in the second polynomial: - = 4x³ - 2x² + x - 3 - 2x³ - x² + 2x - 1 = 2x³ - 3x² + 3x - 4

Understanding how to multiply monomials requires mastery of exponent rules. When multiplying terms with the same base, add the exponents while keeping the base the same.
Highlight: The fundamental rule for multiplying exponential expressions: x^m • x^n = x^
For example, when multiplying (3x²y)(2xy³), follow these steps:
Vocabulary: A monomial is an algebraic expression that consists of a single term, such as 5x³y².

When dealing with powers of monomials, multiply the exponent outside the parentheses by each exponent inside. This is known as the power rule for exponents.
Rule: For any expression ^n = x^(m•n)
For example: (x²y³)⁴ = x^(2•4)y^(3•4) = x⁸y¹²
When working with multiple operations:
Example: Simplify (2x²y)³ Solution: (2x²y)³ = 2³(x²)³(y)³ = 8x⁶y³

Complex polynomial operations often combine multiple concepts including addition, subtraction, multiplication, and exponent rules. Success requires systematic approach and careful attention to detail.
When working with expressions containing multiple variables and operations:
Highlight: Always check that the degree of each term in your answer makes mathematical sense based on the original expression.
For expressions like (3xy²), follow these steps:

Adding polynomials and subtracting polynomials requires careful attention to like terms and proper alignment of variables and their exponents. When working with polynomial expressions, you can use either vertical or horizontal formats to organize your work effectively.
Definition: A polynomial is an algebraic expression made up of variables and coefficients, using only addition, subtraction, multiplication and positive whole number exponents.
The vertical format provides a structured approach where terms with like variables and exponents are aligned in columns. When adding polynomials vertically, write each polynomial with like terms aligned in columns, draw a horizontal line underneath, and combine terms moving from right to left. This method helps prevent errors by keeping similar terms organized.
How to add polynomials step by step begins with identifying like terms - those with identical variables raised to the same powers. For example, when adding 3x² + 2x + 1 and 2x² - 4x + 5, align the x² terms, x terms, and constant terms in columns before adding vertically:
3x² + 2x + 1
2x² - 4x + 5
____________
5x² - 2x + 6
Example: When subtracting polynomials, remember to distribute the negative sign to all terms in the subtrahend (the polynomial being subtracted) before combining like terms:
4x³ - 2x² + 3x - 1
-(2x³ + 5x² - 2x + 4)
____________________
2x³ - 7x² + 5x - 5

The degree of a polynomial in one variable is crucial for understanding its behavior and properties. It represents the highest power of the variable in the polynomial expression after combining like terms.
Vocabulary: The degree of a polynomial is the greatest sum of exponents in any term after the polynomial is simplified.
When working with polynomials in one variable, identifying the degree helps classify the polynomial and predict its graphical behavior. For example, a polynomial of degree 5 is called a quintic polynomial, and it will have at most five x-intercepts on its graph.
How to find the degree of a polynomial with multiple variables requires examining each term and finding the highest sum of exponents. For instance, in the expression 2x³y² + 4xy⁴ - 3x²y³, calculate the sum of exponents in each term:
Highlight: When finding the degree of a polynomial, remember to:
Our AI companion is specifically built for the needs of students. Based on the millions of content pieces we have on the platform we can provide truly meaningful and relevant answers to students. But its not only about answers, the companion is even more about guiding students through their daily learning challenges, with personalised study plans, quizzes or content pieces in the chat and 100% personalisation based on the students skills and developments.
You can download the app in the Google Play Store and in the Apple App Store.
That's right! Enjoy free access to study content, connect with fellow students, and get instant help – all at your fingertips.
App Store
Google Play
The app is very easy to use and well designed. I have found everything I was looking for so far and have been able to learn a lot from the presentations! I will definitely use the app for a class assignment! And of course it also helps a lot as an inspiration.
Stefan S
iOS user
This app is really great. There are so many study notes and help [...]. My problem subject is French, for example, and the app has so many options for help. Thanks to this app, I have improved my French. I would recommend it to anyone.
Samantha Klich
Android user
Wow, I am really amazed. I just tried the app because I've seen it advertised many times and was absolutely stunned. This app is THE HELP you want for school and above all, it offers so many things, such as workouts and fact sheets, which have been VERY helpful to me personally.
Anna
iOS user
I think it’s very much worth it and you’ll end up using it a lot once you get the hang of it and even after looking at others notes you can still ask your Artificial intelligence buddy the question and ask to simplify it if you still don’t get it!!! In the end I think it’s worth it 😊👍 ⚠️Also DID I MENTION ITS FREEE YOU DON’T HAVE TO PAY FOR ANYTHING AND STILL GET YOUR GRADES IN PERFECTLY❗️❗️⚠️
Thomas R
iOS user
Knowunity is the BEST app I’ve used in a minute. This is not an ai review or anything this is genuinely coming from a 7th grade student (I know 2011 im young) but dude this app is a 10/10 i have maintained a 3.8 gpa and have plenty of time for gaming. I love it and my mom is just happy I got good grades
Brad T
Android user
Not only did it help me find the answer but it also showed me alternative ways to solve it. I was horrible in math and science but now I have an a in both subjects. Thanks for the help🤍🤍
David K
iOS user
The app's just great! All I have to do is enter the topic in the search bar and I get the response real fast. I don't have to watch 10 YouTube videos to understand something, so I'm saving my time. Highly recommended!
Sudenaz Ocak
Android user
In school I was really bad at maths but thanks to the app, I am doing better now. I am so grateful that you made the app.
Greenlight Bonnie
Android user
I found this app a couple years ago and it has only gotten better since then. I really love it because it can help with written questions and photo questions. Also, it can find study guides that other people have made as well as flashcard sets and practice tests. The free version is also amazing for students who might not be able to afford it. Would 100% recommend
Aubrey
iOS user
Best app if you're in Highschool or Junior high. I have been using this app for 2 school years and it's the best, it's good if you don't have anyone to help you with school work.😋🩷🎀
Marco B
iOS user
THE QUIZES AND FLASHCARDS ARE SO USEFUL AND I LOVE Knowunity AI. IT ALSO IS LITREALLY LIKE CHATGPT BUT SMARTER!! HELPED ME WITH MY MASCARA PROBLEMS TOO!! AS WELL AS MY REAL SUBJECTS ! DUHHH 😍😁😲🤑💗✨🎀😮
Elisha
iOS user
This app is phenomenal down to the correct info and the various topics you can study! I greatly recommend it for people who struggle with procrastination and those who need homework help. It has been perfectly accurate for world 1 history as far as I’ve seen! Geometry too!
Paul T
iOS user
The app is very easy to use and well designed. I have found everything I was looking for so far and have been able to learn a lot from the presentations! I will definitely use the app for a class assignment! And of course it also helps a lot as an inspiration.
Stefan S
iOS user
This app is really great. There are so many study notes and help [...]. My problem subject is French, for example, and the app has so many options for help. Thanks to this app, I have improved my French. I would recommend it to anyone.
Samantha Klich
Android user
Wow, I am really amazed. I just tried the app because I've seen it advertised many times and was absolutely stunned. This app is THE HELP you want for school and above all, it offers so many things, such as workouts and fact sheets, which have been VERY helpful to me personally.
Anna
iOS user
I think it’s very much worth it and you’ll end up using it a lot once you get the hang of it and even after looking at others notes you can still ask your Artificial intelligence buddy the question and ask to simplify it if you still don’t get it!!! In the end I think it’s worth it 😊👍 ⚠️Also DID I MENTION ITS FREEE YOU DON’T HAVE TO PAY FOR ANYTHING AND STILL GET YOUR GRADES IN PERFECTLY❗️❗️⚠️
Thomas R
iOS user
Knowunity is the BEST app I’ve used in a minute. This is not an ai review or anything this is genuinely coming from a 7th grade student (I know 2011 im young) but dude this app is a 10/10 i have maintained a 3.8 gpa and have plenty of time for gaming. I love it and my mom is just happy I got good grades
Brad T
Android user
Not only did it help me find the answer but it also showed me alternative ways to solve it. I was horrible in math and science but now I have an a in both subjects. Thanks for the help🤍🤍
David K
iOS user
The app's just great! All I have to do is enter the topic in the search bar and I get the response real fast. I don't have to watch 10 YouTube videos to understand something, so I'm saving my time. Highly recommended!
Sudenaz Ocak
Android user
In school I was really bad at maths but thanks to the app, I am doing better now. I am so grateful that you made the app.
Greenlight Bonnie
Android user
I found this app a couple years ago and it has only gotten better since then. I really love it because it can help with written questions and photo questions. Also, it can find study guides that other people have made as well as flashcard sets and practice tests. The free version is also amazing for students who might not be able to afford it. Would 100% recommend
Aubrey
iOS user
Best app if you're in Highschool or Junior high. I have been using this app for 2 school years and it's the best, it's good if you don't have anyone to help you with school work.😋🩷🎀
Marco B
iOS user
THE QUIZES AND FLASHCARDS ARE SO USEFUL AND I LOVE Knowunity AI. IT ALSO IS LITREALLY LIKE CHATGPT BUT SMARTER!! HELPED ME WITH MY MASCARA PROBLEMS TOO!! AS WELL AS MY REAL SUBJECTS ! DUHHH 😍😁😲🤑💗✨🎀😮
Elisha
iOS user
This app is phenomenal down to the correct info and the various topics you can study! I greatly recommend it for people who struggle with procrastination and those who need homework help. It has been perfectly accurate for world 1 history as far as I’ve seen! Geometry too!
Paul T
iOS user
Learning to work with polynomials requires understanding both adding polynomials and subtracting polynomials using different methods and formats.
When adding polynomials, students can use either horizontal or vertical formats. The vertical format involves aligning like terms in columns based... Show more

Access to all documents
Improve your grades
Join milions of students
A polynomial expression consists of terms that are monomials - individual components made up of numbers, variables, or their products. When working with polynomials, it's essential to understand their fundamental structure and classification.
Definition: A monomial is a mathematical expression that can be a number, variable, or product of numbers and variables. Examples include: 7, x, 2xy².
The complexity of polynomials increases based on the number of terms they contain. A polynomial with one term is called a monomial , two terms make a binomial , and three terms create a trinomial . When writing polynomials in one variable, mathematicians typically arrange terms in descending order, meaning the highest power of the variable appears first.
Example: The polynomial 4x³-3x²+6x-1 is written in descending order, with the term containing x³ first, followed by x², then x, and finally the constant term.
The degree of a polynomial in one variable is determined by the highest exponent of that variable in any term. For instance, in the polynomial 5y⁴-2y³+y²-7y+8, the degree is 4 because the highest power of y is 4. It's important to note that constants have a degree of zero, while the number zero itself has no degree.
Highlight: When identifying polynomial degrees:

Access to all documents
Improve your grades
Join milions of students
Adding polynomials can be accomplished using either vertical or horizontal formats. Both methods rely on combining like terms - terms with identical variables raised to the same powers.
Example: When adding + vertically:
2x²+x-1
3x³+4x²-5
= 3x³+6x²+x-6
The horizontal format offers an alternative approach that uses the commutative and associative properties of addition. This method involves rearranging terms so that like terms are grouped together before combining them.
Highlight: When subtracting polynomials, add the opposite of the subtrahend (the polynomial being subtracted). The opposite of a polynomial is formed by changing the sign of every term.
For example, to find -, change each sign: -x²+2x-3
When performing polynomial subtraction, you can use either:

Access to all documents
Improve your grades
Join milions of students
Working with more complex polynomial expressions requires careful attention to signs and terms. When adding or subtracting multiple polynomials, maintain organization by consistently aligning like terms.
Example: For the expression -:
The key to successful polynomial operations lies in systematic organization and careful attention to signs. Whether working vertically or horizontally, maintaining clear alignment of like terms prevents errors and simplifies calculations.
Vocabulary:

Access to all documents
Improve your grades
Join milions of students
Mastering polynomial operations requires regular practice with various types of expressions. Common applications include:
Example: Practical problems involving:
When solving problems, remember these key strategies:
Highlight: Common mistakes to avoid:

Access to all documents
Improve your grades
Join milions of students
Adding polynomials and working with exponents requires careful attention to mathematical rules and proper organization. Let's explore these concepts in detail.
Definition: A polynomial is an algebraic expression made up of variables and coefficients, where variables can only have whole number exponents.
When adding polynomials horizontally, you must identify like terms and combine them while maintaining their signs. For example, when adding 3x² + 2x + 1 and 2x² - 3x + 4, group like terms: + + (1 + 4) = 5x² - x + 5.
How to add polynomials vertically follows a similar principle but with a different visual organization:
3x² + 2x + 1
2x² - 3x + 4
____________
5x² - x + 5
Example: When subtracting polynomials, remember to distribute the negative sign to all terms in the second polynomial: - = 4x³ - 2x² + x - 3 - 2x³ - x² + 2x - 1 = 2x³ - 3x² + 3x - 4

Access to all documents
Improve your grades
Join milions of students
Understanding how to multiply monomials requires mastery of exponent rules. When multiplying terms with the same base, add the exponents while keeping the base the same.
Highlight: The fundamental rule for multiplying exponential expressions: x^m • x^n = x^
For example, when multiplying (3x²y)(2xy³), follow these steps:
Vocabulary: A monomial is an algebraic expression that consists of a single term, such as 5x³y².

Access to all documents
Improve your grades
Join milions of students
When dealing with powers of monomials, multiply the exponent outside the parentheses by each exponent inside. This is known as the power rule for exponents.
Rule: For any expression ^n = x^(m•n)
For example: (x²y³)⁴ = x^(2•4)y^(3•4) = x⁸y¹²
When working with multiple operations:
Example: Simplify (2x²y)³ Solution: (2x²y)³ = 2³(x²)³(y)³ = 8x⁶y³

Access to all documents
Improve your grades
Join milions of students
Complex polynomial operations often combine multiple concepts including addition, subtraction, multiplication, and exponent rules. Success requires systematic approach and careful attention to detail.
When working with expressions containing multiple variables and operations:
Highlight: Always check that the degree of each term in your answer makes mathematical sense based on the original expression.
For expressions like (3xy²), follow these steps:

Access to all documents
Improve your grades
Join milions of students
Adding polynomials and subtracting polynomials requires careful attention to like terms and proper alignment of variables and their exponents. When working with polynomial expressions, you can use either vertical or horizontal formats to organize your work effectively.
Definition: A polynomial is an algebraic expression made up of variables and coefficients, using only addition, subtraction, multiplication and positive whole number exponents.
The vertical format provides a structured approach where terms with like variables and exponents are aligned in columns. When adding polynomials vertically, write each polynomial with like terms aligned in columns, draw a horizontal line underneath, and combine terms moving from right to left. This method helps prevent errors by keeping similar terms organized.
How to add polynomials step by step begins with identifying like terms - those with identical variables raised to the same powers. For example, when adding 3x² + 2x + 1 and 2x² - 4x + 5, align the x² terms, x terms, and constant terms in columns before adding vertically:
3x² + 2x + 1
2x² - 4x + 5
____________
5x² - 2x + 6
Example: When subtracting polynomials, remember to distribute the negative sign to all terms in the subtrahend (the polynomial being subtracted) before combining like terms:
4x³ - 2x² + 3x - 1
-(2x³ + 5x² - 2x + 4)
____________________
2x³ - 7x² + 5x - 5

Access to all documents
Improve your grades
Join milions of students
The degree of a polynomial in one variable is crucial for understanding its behavior and properties. It represents the highest power of the variable in the polynomial expression after combining like terms.
Vocabulary: The degree of a polynomial is the greatest sum of exponents in any term after the polynomial is simplified.
When working with polynomials in one variable, identifying the degree helps classify the polynomial and predict its graphical behavior. For example, a polynomial of degree 5 is called a quintic polynomial, and it will have at most five x-intercepts on its graph.
How to find the degree of a polynomial with multiple variables requires examining each term and finding the highest sum of exponents. For instance, in the expression 2x³y² + 4xy⁴ - 3x²y³, calculate the sum of exponents in each term:
Highlight: When finding the degree of a polynomial, remember to:
Our AI companion is specifically built for the needs of students. Based on the millions of content pieces we have on the platform we can provide truly meaningful and relevant answers to students. But its not only about answers, the companion is even more about guiding students through their daily learning challenges, with personalised study plans, quizzes or content pieces in the chat and 100% personalisation based on the students skills and developments.
You can download the app in the Google Play Store and in the Apple App Store.
That's right! Enjoy free access to study content, connect with fellow students, and get instant help – all at your fingertips.
15
Smart Tools NEW
Transform this note into: ✓ 50+ Practice Questions ✓ Interactive Flashcards ✓ Full Practice Test ✓ Essay Outlines
Explore essential methods for expanding and simplifying algebraic expressions, including double and triple brackets. This resource features practice questions and step-by-step solutions to enhance your understanding of binomial expansion and algebraic manipulation.
Overview High School Algebra 1
math bits algebra 1 adding polynomials worksheet
Explore essential algebraic manipulation techniques including simplifying expressions, rationalising surds, and applying laws of indices. This comprehensive guide provides step-by-step solutions to common problems, making it ideal for AS Level Pure Mathematics students. Key topics include factoring, expanding expressions, and working with negative and fractional indices.
formula for Algebra :)
App Store
Google Play
The app is very easy to use and well designed. I have found everything I was looking for so far and have been able to learn a lot from the presentations! I will definitely use the app for a class assignment! And of course it also helps a lot as an inspiration.
Stefan S
iOS user
This app is really great. There are so many study notes and help [...]. My problem subject is French, for example, and the app has so many options for help. Thanks to this app, I have improved my French. I would recommend it to anyone.
Samantha Klich
Android user
Wow, I am really amazed. I just tried the app because I've seen it advertised many times and was absolutely stunned. This app is THE HELP you want for school and above all, it offers so many things, such as workouts and fact sheets, which have been VERY helpful to me personally.
Anna
iOS user
I think it’s very much worth it and you’ll end up using it a lot once you get the hang of it and even after looking at others notes you can still ask your Artificial intelligence buddy the question and ask to simplify it if you still don’t get it!!! In the end I think it’s worth it 😊👍 ⚠️Also DID I MENTION ITS FREEE YOU DON’T HAVE TO PAY FOR ANYTHING AND STILL GET YOUR GRADES IN PERFECTLY❗️❗️⚠️
Thomas R
iOS user
Knowunity is the BEST app I’ve used in a minute. This is not an ai review or anything this is genuinely coming from a 7th grade student (I know 2011 im young) but dude this app is a 10/10 i have maintained a 3.8 gpa and have plenty of time for gaming. I love it and my mom is just happy I got good grades
Brad T
Android user
Not only did it help me find the answer but it also showed me alternative ways to solve it. I was horrible in math and science but now I have an a in both subjects. Thanks for the help🤍🤍
David K
iOS user
The app's just great! All I have to do is enter the topic in the search bar and I get the response real fast. I don't have to watch 10 YouTube videos to understand something, so I'm saving my time. Highly recommended!
Sudenaz Ocak
Android user
In school I was really bad at maths but thanks to the app, I am doing better now. I am so grateful that you made the app.
Greenlight Bonnie
Android user
I found this app a couple years ago and it has only gotten better since then. I really love it because it can help with written questions and photo questions. Also, it can find study guides that other people have made as well as flashcard sets and practice tests. The free version is also amazing for students who might not be able to afford it. Would 100% recommend
Aubrey
iOS user
Best app if you're in Highschool or Junior high. I have been using this app for 2 school years and it's the best, it's good if you don't have anyone to help you with school work.😋🩷🎀
Marco B
iOS user
THE QUIZES AND FLASHCARDS ARE SO USEFUL AND I LOVE Knowunity AI. IT ALSO IS LITREALLY LIKE CHATGPT BUT SMARTER!! HELPED ME WITH MY MASCARA PROBLEMS TOO!! AS WELL AS MY REAL SUBJECTS ! DUHHH 😍😁😲🤑💗✨🎀😮
Elisha
iOS user
This app is phenomenal down to the correct info and the various topics you can study! I greatly recommend it for people who struggle with procrastination and those who need homework help. It has been perfectly accurate for world 1 history as far as I’ve seen! Geometry too!
Paul T
iOS user
The app is very easy to use and well designed. I have found everything I was looking for so far and have been able to learn a lot from the presentations! I will definitely use the app for a class assignment! And of course it also helps a lot as an inspiration.
Stefan S
iOS user
This app is really great. There are so many study notes and help [...]. My problem subject is French, for example, and the app has so many options for help. Thanks to this app, I have improved my French. I would recommend it to anyone.
Samantha Klich
Android user
Wow, I am really amazed. I just tried the app because I've seen it advertised many times and was absolutely stunned. This app is THE HELP you want for school and above all, it offers so many things, such as workouts and fact sheets, which have been VERY helpful to me personally.
Anna
iOS user
I think it’s very much worth it and you’ll end up using it a lot once you get the hang of it and even after looking at others notes you can still ask your Artificial intelligence buddy the question and ask to simplify it if you still don’t get it!!! In the end I think it’s worth it 😊👍 ⚠️Also DID I MENTION ITS FREEE YOU DON’T HAVE TO PAY FOR ANYTHING AND STILL GET YOUR GRADES IN PERFECTLY❗️❗️⚠️
Thomas R
iOS user
Knowunity is the BEST app I’ve used in a minute. This is not an ai review or anything this is genuinely coming from a 7th grade student (I know 2011 im young) but dude this app is a 10/10 i have maintained a 3.8 gpa and have plenty of time for gaming. I love it and my mom is just happy I got good grades
Brad T
Android user
Not only did it help me find the answer but it also showed me alternative ways to solve it. I was horrible in math and science but now I have an a in both subjects. Thanks for the help🤍🤍
David K
iOS user
The app's just great! All I have to do is enter the topic in the search bar and I get the response real fast. I don't have to watch 10 YouTube videos to understand something, so I'm saving my time. Highly recommended!
Sudenaz Ocak
Android user
In school I was really bad at maths but thanks to the app, I am doing better now. I am so grateful that you made the app.
Greenlight Bonnie
Android user
I found this app a couple years ago and it has only gotten better since then. I really love it because it can help with written questions and photo questions. Also, it can find study guides that other people have made as well as flashcard sets and practice tests. The free version is also amazing for students who might not be able to afford it. Would 100% recommend
Aubrey
iOS user
Best app if you're in Highschool or Junior high. I have been using this app for 2 school years and it's the best, it's good if you don't have anyone to help you with school work.😋🩷🎀
Marco B
iOS user
THE QUIZES AND FLASHCARDS ARE SO USEFUL AND I LOVE Knowunity AI. IT ALSO IS LITREALLY LIKE CHATGPT BUT SMARTER!! HELPED ME WITH MY MASCARA PROBLEMS TOO!! AS WELL AS MY REAL SUBJECTS ! DUHHH 😍😁😲🤑💗✨🎀😮
Elisha
iOS user
This app is phenomenal down to the correct info and the various topics you can study! I greatly recommend it for people who struggle with procrastination and those who need homework help. It has been perfectly accurate for world 1 history as far as I’ve seen! Geometry too!
Paul T
iOS user